百部

概况

异名:嗽药(陶弘景),百条根、野天门冬、百奶(《杨氏经验方》),九重根(《草木便方》),九虫根(《分类草药性》),牛虱鬼(《闽东本草》),药虱药(河南)。

基源:为百部科百部属植物部分种类的块根。百部属全世界约10种;中国约8种,药用的有5种。

原植物:蔓生百部Stemona japonica(Bl.)Miq.,又名山百根(《中药志》),九十九条根(《中国土农药志》)。直立百部Stemona sessilifolia(Miq.)Franch.et Sav.,又名百部袋、一窝虎(江苏)。大百部Stemona tuberosa Lour.(Stemona stemophylla Diels ex Schltr.;Stemona folifolia Schltr.;Dianella mairei Lévl.),又名对叶百部(《中药志》),野天门冬根(四川、云南、贵州)、山百部(湖南)。细花百部Stemona parviflora C.H.Wright.。云南百部Stemona mairei(Lévl.)Krause(Dianella mairel Lévl.;Stemonw vagala W.W.Smith)。正品百部一般指蔓生百部、直立百部、大百部。细花百部、云南百部在部分地区或民间也作百部入药。

历史:本品为常用中药。《别录》收载列入中品,其后历代本草均有收载。陶弘景谓:“其根数十相连,似天门冬而苦强,但苗异尔。”唐陈藏器日:“天门冬根有十余,茎圆短,实润味苦,百部多者五、六十,茎长尖,内虚,味苦不同,由蔓亦别。”宋苏颂谓:“今江、湖、淮、陕、齐、鲁州群皆有之。春生苗,作藤蔓,叶大而尖长,颇似竹叶,面青色而光。根下一撮十五六枚,黄白色。”这里所述系指蔓生百部。

形态:蔓生百部为多年生草本,高60~90cm,全体光滑无毛。根多数簇生,肉质、块状、纺锤形。茎下部直立,上部成蔓生状。叶2~4片轮生或稀对生,卵形或卵状披针形,长3~9cm,宽1.5~4cm,顶端锐尖或渐尖,基部圆形,截形,有时稍心形,全缘而微带波状,叶脉5~9条,小脉细密横形;叶柄长15~30mm。总花梗直立,长15~25mm,贴生于叶片近基部脉上,通常着生1花,长约15mm,花被浅绿色,4片成2列,卵形或披针形,开花后向外反卷;雄蕊4,紫色,药隔膨大而伸长,顶端具条状附属物;子房小,卵形,无花柱。蒴果广卵形而扁,径约8mm,表面平滑,暗赤色,成熟时裂开。种子长椭圆形,长约5mm,宽约4mm,深紫褐色,表面有多数纵槽纹,一端有簇生的多数膜质状附属物。花期5月,果期7月。(图见《中药志》.第1册.第2版.401页.图319)

生境与分布:生于山坡、林缘、郊野路边或竹林中。分布于陕西、江苏、安徽、浙江、山东、江西、湖南、湖北、四川。

直立百部与蔓生百部的主要区别为直立草本,茎不分枝,叶全部轮生,花梗通常出自茎下部鳞片腋内。花期4~5月,果期7月。(图见《中药志》.第1册.第2版.409页.图318)生于山坡林下或栽培。分布于山东、江苏、浙江、福建、江西、河南。

大百部与蔓生百部、直立百部的主要区别为叶对生,稀轮生,叶柄长4~6cm,叶片宽卵形,长10~20cm,宽3~10cm,顶端渐尖至短尖,基部心形,全缘或微波状,主脉7~13条。总花梗腋生,与叶柄分离或偶尔贴生于叶柄基部,长4~6cm,顶端有花1~3朵,以2朵为多。花期5~6月。(图见《中药志》.第1册.第2版.411页.图320)生于向阴处灌木林下、溪边、路边及山谷和阴湿岩石上。分布于中国西南及福建、台湾、湖南、广东、广西。

其他尚有:细花百部为多年生攀援草本。块根纺锤形,一株常有几十条、叶互生,窄披针形。总状花序腋生,总花序梗很短,长约4mm,小花梗细,长约5mm,具2~6朵小花。(图见《中药大辞典》.上册.1729条图)生于海拔700m的山地溪旁或石隙中。分布于海南。云南百部,叶无柄或近无柄,叶片线形、线状披针形,或偶尔生于茎下部的为卵形,长1,5~5cm,宽2~13mm。(图见《中药大辞典》.上册.条图)生于海拔2600~3000m的山坡林下。分布于云南西北部至东北部。

生药

栽培:适宜于温暖湿润的气候,耐寒。以土层深厚,肥沃疏松,排水良好的砂质壤土为宜,忌水涝。用种子繁殖,秋播在9月中旬~10月中旬;春播在2月下旬~3月上旬。按行株距各30~26cm穴播或条播,深3~4cm,每亩用种量2kg。播后盖草木灰和细土。亦可结合收获时,截取根上端根芽,分成2~3株,每株有芽1~2个作种栽。籽播出苗后,结合松土除草进行间苗,穴播每穴留苗1~2株。生长期间结合中耕除草,追肥2~3次.以人畜粪水、堆肥或厩肥追施,为改善通风透光,株旁设支柱(柴杆),利于茎蔓缠绕生长,开花时摘除花蕾,越冬前需培土壅根。虫害有红蜘蛛,可喷波美0.1~02度石硫合剂。

采集:3~4月或9~11月均可采收,一般在新芽出土时及苗枯后挖取,洗净,蒸或浸烫至无白心,取出晒干。有认为蒸的质量较好,须蒸至内无白心,若蒸过久内心变红黑色,影响质量。主产于浙江,江苏、安徽也有出产。直立百部主产于安徽、江苏、湖北、浙江、山东。大百部(对叶百部)生产于湖北、广东、福建、四川、贵州、湖北思施、宜昌各县,细花百部产于广东、海南。狭叶百部产于云南西北部至东北部。

鉴别

性状:蔓生百部与直立百部相近,区别点为块根纺锤形,直径与长略小于直立百部,上端颈部较长,超过膨大部分的1/2,根下端渐狭细;表面白色到黄色,较直立百部浅,多不规则皱褶及横皱纹,中柱扁缩成“人”字形。均以条粗壮、质坚实者为佳。

直立百部大多为分离块根,也有成簇的。成簇者有长2~3cm的根茎,灰棕色,有圆形隆起的老茎痕。块根纺锤形,长4~17cm,膨大部分直径约1cm,根上端狭细呈颈状,直径约至2.5mm,长度不超过膨大部分长度的1/2,下端较上端狭,作细根状,长可至10cm;表面黄白色至土黄色,有不规则深纵沟及纵横细皱纹。质较韧软,折断面平坦,角质样,淡黄棕色或黄白色,皮部较宽,中柱扁缩类三角形。气微,味、苦。 大百部(对叶百部)块根长纺锤形或长条形,长8~26cm,直径0.8~2cm,上端渐狭细,作短颈状;表面浅黄棕色至灰棕色,具浅纵皱纹或不规则纵槽。质坚实,断面黄白色至暗棕色,中柱较大,类圆形或长多角形,髓部常成空洞。 细花百部块根细长圆锥状,长8~19cm,直径4~7.5cm,下端狭细呈颈状,常折断,直径约至2mm,长度约为膨大部分的1/3;外表浅灰色至浅灰黄色,有不规则长纵行纹理,其间有小点状凹陷。断面角质,中柱小,类圆形,白黄色。折断后微有糖样香气,味微甘、苦。 狭叶百部大多为干燥分离块根,成簇者有直径0.5~1cm的根茎。块根纺锤形,长约6~8cm,膨大部分直径0.6~1.5cm,块根上端狭细呈颈状,长度超过膨大部分的2倍;表面黄色至土黄色,有不规则纵行槽纹,间有粗点状凹陷,有时可见横向或斜向折皱和细条纹。断面白色或黄色,中柱扁缩,黄白色。味先甘后苦。

显微 ①蔓生百部根横切面:根被为3~6列细胞。韧皮部纤维木化。导管径向直径约至184μm,通常深入至髓部,与外侧导管束作2~3轮状排列。(图见《中药志》.第1册.第2版.图323)粉末:导管直径在64μm以上者较多见;木纤维直径约至32μm;草酸钙针晶难察见。 ②直立百部 本品横切面:根被为3~4列细胞,壁木栓化及木化,具致密的细条纹。皮层较宽;内皮层细胞明显中柱韧皮部束与木质部束各19~27个,间隔排列,韧皮部束内侧有少数非木化纤维;木质部束导管2~5个,并有木纤维及管胞,导管类多角形,径向直径约至48μm,偶有导管深入至髓部。髓部散有少数细小纤维。(图见《中药志》.第1册.第2版.图321~2) 粉末:灰黄色,气微,味苦。1)根被细胞表面观呈长方形或长多角形,壁稍厚,整个细胞壁均有致密交织的细条纹,近细胞角隅处常有脐样纹理。根的表皮细胞垂周壁作细波状弯曲,无细条纹。2)具缘纹孔导管直径16~80μm,导管分子端壁常倾斜,具长的梯形空孔板,具缘纹孔较密,有的横向延长并数个连接。3)内皮层细胞常成片存在,表面观呈长方形,直径约24μm,壁稍厚,纵向壁细波状或螺旋状弯曲,横向壁平直。4)木纤维较长,直径12~24μm,壁稍厚,木化,具单斜纹孔或具缘纹孔。5)导管旁木薄壁细胞呈长方形,直径22~35μm,有较大形的类圆形单纹孔。6)草酸钙针晶少数,常不规则充塞于薄壁细胞中,长约至60μm,少数针晶较粗,直径约5μm,似细柱状。(根的细颈部分结晶粗至11μm)。(图见《中药材粉末显微鉴定》.图36) ③对叶百部根横切面:根被为3列细胞,细胞壁无细条纹,其内层细胞的内壁特厚。皮层外侧散有纤维,类方形,壁微木化。中柱韧皮部束36~40个。木质部束导管圆多角形,直径至107μm,其内侧与木纤维及微木化的薄壁细胞连接成环层。(图见《中药志》.第1册.第2版.图324) 粉末:黄棕色1)淀粉粒众多,未糊化者单粒蚌壳形、螺蛳形、扇形、三角锥形、矩圆形、棒槌形、肾形、卵形、类圆形、椭圆形、类方形或不规则形,边缘大多凹凸不平,直径5~52μm,长约至72μm。2)皮层纤维大多单个散列于薄壁组织中,常邻近根被细胞,细长,稍弯曲,一边略呈齿状突出,直径16~54μm,壁厚5~15μm,非木化。3)根被细胞淡黄色,表面,观呈类多4角形或类方形,壁稍厚,木化;断面观其内层细胞的内壁特厚。根被细胞无致密细条纹。4)具缘纹孔导管直径10~96μm,具缘纹孔,互列,有的横向延长呈网状或梯状排列。5)木纤维直径16~60μm有的胞腔具横隔。(图见《中药材粉末显微鉴定》.图37)

理化:①百部的薄层色谱 取样品粉末5g,用80%乙醇50ml热提1小时,收集醇液,再用乙醇50ml热提30分钟,合并醇液,回收乙醇,加1%盐酸5ml稀释,滤过,滤液用氯仿萃取,回收大部分氯仿得酸氯仿提取液,作为点样液(Ⅰ);经氯仿提取后的酸水液,用浓氨水碱化至pH10~11,再用氯仿萃取,回收大部分氯仿得碱氯仿液,作为点样液(Ⅱ)将两种点样液点于硅胶G板上,以氯仿-丙酮-甲醇(7:2:1)为展开剂,展开后,用改良碘化碘铋钾试剂显色(图见《中药材薄层色谱鉴别.图145-1)。 ②百部与伪品石刁柏的薄层色谱:取样品粉末3g,加90%乙醇20ml与2%盐酸1ml的混合合液,回流提取20分钟,放置过液,滤过,滤液浓缩至干,加90%乙醇0.5ml溶解,点于硅胶G-CMC板上,以氯仿-甲醇(82)为展开剂,展距10cm,用碘化铋钾试液颜色,斑点均呈橙色。(图见《中药材薄层色谱鉴别》.图145-2)

加工炮制:常用的炮制品有百部和蜜炙百部。 ①百部 取原药材,除去杂质,洗净,润透,切厚片,干燥; ②蜜炙百部 先将炼蜜加适量开水稀释,加入净百部片拌匀。闷透,置锅内用文火至不粘手,取出,放凉。每百部100kg用炼蜜12.5kg此外,尚有甘草制,炒制等炮制方法。

化学性质

块根含多种生物碱。

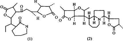
蔓生百部根含百部碱(Stemonine)、百部定碱(Stemonidine)、异百部定碱(Isostemonidine)、原百部碱(Protostemonine)、百部宁碱(Papipunine)、华百部碱(Sinostemonine)等[1]。蔓生百部碱(Stemonamine)、异蔓生百部碱、百部叶碱(Stemofoline)[5]

直立百部根含百部碱、原百部碱、异百部定碱、对叶百部碱(Tuberostemonine)、霍多林碱(Hodorine)、直立百部碱(Sessiliste moinine)[1~5]

对叶百部(大百部)根含百部碱、对叶百部碱、异对叶百部碱、斯替宁碱(Stenine)、次对叶百部碱(Hypotuberostemonine)、氧化对叶百部碱(Oxotuberostemonine),还有糖、蛋白质、有机酸等[1~5]。后又分得滇百部碱(Stenotinine)(1)和异滇百部碱[2]。对叶百部酮(Tuberoste monone)(1)、百部新酰胺碱(Stmoninamide)等[7]

细花百部根含细叶花百部碱(Pasvistemonine)(2)[2]、百部新碱(Ste moninine)[4~6]、细叶花百部酰胺(Parvistemsamide)、脱氢细花百部碱(Didehydroparvistemonine)、细花百部叶碱((-)-Stemofline)、氧化百部叶碱(Oxystemofoline)等[7]

云南百部(狭叶百部)[S.mairei(Lévl.)Krause(S.vagula W.W.Sm.)]根含滇百部碱和异滇百部碱[5]、狭叶百部碱(Maistemonine)、氧化狭叶百部碱(Oxymaistemonine)等[7]

参考文献

[1] 中药大辞典,上册.上海人民出版社,1977:859。
[2] 华东地区第7次天然药物化学学术会议论文集(无锡),1987:11。
[3] 第三届全国有机化学学术会议论文集汇编(山东烟台),1987 10。
[4] 中国药学会庆祝建会八十周年论文集(北京市),1987;11 916。
[5] 新华本草纲要.第1册.上海科学技术出版社,1988:497。
[6] J Nat Prod 1988;51(2):202(CA 1988:109:17068P)。
[7] 林文翰博士论文.中国科学院上海药物研究所,1990。

药理

①抗菌作用 100%煎液用平板挖沟法对霍乱弧菌、痢疾杆菌、副伤寒杆菌、伤寒杆菌、大肠杆菌、变形杆菌、绿脓杆菌、白喉杆菌、葡萄球菌及肺炎球菌有抑制作用[1]。百部乙醇浸液在体外对炭疽杆菌、金黄色葡萄球菌、白色葡萄球菌、肺炎杆菌等有抑制作用[2]。百部浸液在体外1∶100~1∶1600浓度时对H37RV人型结核杆菌有抑制作用[3]。其50%醇浸液在体外对绿脓杆菌抑制作用最强[4]。浓度为10%、20%、30%、40%的百部水浸液对真菌有一定的抑制作用[5]。16%煎剂用半体内法证明,其能使亚洲甲型流感病毒对小鼠的致病力下降90%,ig0.2ml/只或ip0.5ml/只,对感染该流感病毒的小鼠有明显的治疗效果和一定的预防作用[6]。用鸡胚培养的新城病毒试验,表明百部能延长鸡胚寿命36h[7]。 ②杀虫作用 将鼠蛲虫置50%百部药液内,经11h已有少数死亡,20h全部死亡[8]。体外试验证明,百部水浸液和70%醇浸液(5%、10%、25%和50%)对头虱和衣虱(白虱)均有明显的杀灭作用,并可杀虱卵[9~10],其中对头虱的作用最强。醇浸剂较水浸剂的效力为大[10]。百部乙醇浸出物的50%蒸馏水混悬液接触阴虱数分钟即可杀死,但水浸剂则无效[11]。用70%的乙醇浸出液治头虱和阴虱的效力比DDT和除虫菊[12]。此外,百部粉浸液对蝇蛆、孑孓、柑桔蚜、地老虎、臭虫烟螟等十余种害虫也有杀灭作用[13]。 ③对支气管平滑肌的作用 100%百部生物碱提取液02ml,对组胺所致的离体豚鼠支气管平滑肌痉挛有松弛作用。其作用强度与氨茶碱近似,但较缓慢而持久[14]

参考文献

[1] 中华新医学报 1950;1(2):95。
[2] 植物学报 1954;3(2):121。
[3] 植物学报 1953;2(2):312。
[4] 药学通报 1959;7(10):522。
[5] 中华皮肤科杂志 1957;(4):286。
[6] 全国急性传染病学术会议资料选编(中).福建省流行病研究所.1959:349。
[7] Se Rec 1951;4(1):77。
[8] 山东大学学报 1956;2(3):102。
[9] Chinese Med J 1941;54(2):151。
[10] 中华新医学报 1952;3(1):9。
[11] Chinese Med J 1941;60(6):517。
[12] 北京中医 1954;3(5):16。
[13] 昆虫学报 1952;2(3):166。
[14] 医药科技资料 山东昌潍地区卫生局,1973;(4):14。

药性

性味:甘、苦,微温; ①《别录》:“微温。” ②陶弘景:“似天门冬而苦强,亦有小毒。” ③《药性论》:“甘。” ④《日华子本草》:“苦。”

归经:入心、肺经。 ①《滇南本草》:“入肺。” ②《本草新编》:“入肺经,亦入脾、胃。”

功效:润肺下气,止咳,杀虫。

主治:新久咳嗽,风寒咳嗽,百日咳,肺结核,老年咳喘,头虱,蛔虫,蛲虫病,皮肤疥癣、湿疹。 ①《抱朴子》:“治咳及杀虫。” ②《别录》:“主咳嗽上气。” ③陶弘景:“百部火炙酒渍,饮之疗咳嗽,亦主去虱。又主暴嗽。” ④《药性论》:“治肺家热,上气,咳嗽,主润益肺。” ⑤《本草拾遗》:“火炙浸酒空腹饮,去虫蚕咬,兼疥癣疮。” ⑥《日华子本草》:“治疳蛔及传尸骨蒸劳,杀蛔虫、寸白、蛲虫。” ⑦《滇南本草》:“润肺,治肺热咳嗽;消痰定喘,止虚劳咳嗽,杀虫。” ⑧《中国药用植物志》:“与猪蹄煮服,可以治风湿症。” ⑨广州部队《常用中草药手册》:“治百日咳,肺结核,支气管炎,皮炎,湿疹,荨麻疹,脚癣,阿米巴痢疾。”

用法用量:内服:煎汤,3~9g;浸酒或入丸、散。外用:煎水洗或研末调敷。

使用注意:①《得配本草》:“热嗽,水亏火炎者禁用。” ②《全国中草药汇编》:“服用百部过量时,常引起呼吸中枢麻痹。解救方法应立即给氧或行人工呼吸;注射山梗菜碱或尼可刹米等呼吸兴奋剂;静脉滴注葡萄糖盐水等对症治疗。”

临床应用

配伍应用:①配沙参,治肺热气津两伤的咳嗽,肺痨久嗽。 ②配麻黄、杏仁,治肺寒咳嗽,微有痰。 ③配桔梗、白前、紫菀,治寒邪外侵,连及于肺,久嗽不止。 ④配百合、麦冬、黄芪,治久嗽肺痿,下午发热,鼻塞项强,胸胁胀满等症。 ⑤配白前、沙参,治百日咳。 ⑥配白前,治外感或内伤肺气的久嗽气喘等症。 ⑦配川贝母,治热痰凝结的咳嗽,胸痛,吐痰黄稠量少等症。 ⑧配地骨皮,麦冬,治尸疰。 ⑨配车前子(草)、治湿热痰嗽。 ⑩配煨贝母、葛根,治小儿咳嗽,头热。 ⑾配黄芩、丹皮,治肺结核咳嗽。 ⑿配白鲜皮、鹤虱,治牛皮癣。 ⒀配苦参、蛇床子,治蛲虫病。煎汤外用,治头虱、体虱、阴虱等症。 ⒁配使君子,苦楝根皮,治蛔虫病。 ⒂配苍术、辣蓼,装袋配带,防治螨类虫咬。 ⒃配大枫子,苦参,外用治疥疮。 ⒄配桔梗、沙参,治肺痿咳嗽,涎唾稠粘,咽喉不利,心神烦热。 ⒅配煨贝母、葛根,治小儿咳嗽,头热。

方选和验方: ①百部丸(《千金要方》)治诸咳,不得气息,唾脓血:百部90g,五味子、千姜、紫菀、甘草、桂枝各30g,升麻15g。为细末,炼蜜为丸,梧桐子大。每服2~3丸,食后,睡前开水送下。 ②百部丸(《鸡峰普济方》)治肺虚:百部120g生地(取汁熬成稀膏)2500g,地黄膏和百部末为丸,梧桐子大。每服30丸,食后米汤送下。 ③百部丸(《小儿药证直诀》)治肺寒壅嗽,微有痰:百部90g,麻黄,杏仁40枚。研末炼蜜为丸,如芡实大,热水化下。 ④百部丸(《太平惠民和剂局方》)治肺气不调,咳嗽喘急,胸膈烦闷,唇干口燥,面目浮肿,咽嗌不利,积久不差,咯唾脓血:天门冬500g,杏仁、黄芪、百部、天花粉各180g,紫苏、紫菀、马兜铃各660g,黑参240g,肉桂12g。研末,炼蜜为丸,如梧桐子大。 ⑤百部汤(《圣济总录》)治热嗽气满:百部、百合、桑白皮、柴胡、枳壳(麦炒)、木通各30g,赤芍药,郁李仁(去皮、炒)各1g,炙甘草15g,赤茯苓60g。为粗末,每服10g加生姜(枣大)1块(拍碎),水煎,不拘时服。 ⑥百部根汤(《备急千金要方》)治喘嗽,日夜不得卧,两眼突出:百部根,生姜各250g,细辛,甘草各90g,白术、贝母、五味子各30g,桂心120g,麻黄180g。水煎服。 ⑦百部散(《太平圣惠方》)治肺痿咳嗽,涎唾稠粘,咽喉不利,心神烦热:百部、桔梗、射干、升麻、天门冬、木通各30g,大黄、沙参、炙甘草各15g。研为散,每服12g,竹叶27片,水煎服。 ⑧百部散(《太平圣惠方》)治小儿咳嗽,头热:百部,煨贝母、紫菀、葛根各30g,石膏60g。为末,每服9g,加竹叶27片,水煎,食后服。 ⑨百部膏(《疡医大金》)治牛皮癣:百部、白鲜皮、鹤虱、蓖麻仁、生地黄、黄柏、当归各0.3g。用麻油240g,入药熬枯去渣、复熬至滴水成珠,下黄蜡60g,试水不散为度,再入雄黄末少许和匀,敷患处。 ⑩止嗽散(《医学心悟》)治寒邪侵于皮毛,连及于肺,令人咳:桔梗4.5g,百部4.5g甘草(炙)1.5g,白前4.5g,橘红3g,紫菀4.5g。水煎服。 ⑾百部汤(《本草汇言》)治久嗽不已,咳吐痰涎,重亡津液,渐成肺痿,下午发热,鼻塞项强,胸胁胀满,卧则偏左其嗽少止,偏右嗽必连发,甚则喘急,病必危殆:百部、薏苡仁、百合、麦门冬各9g,桑白皮、白茯苓、沙参、黄耆、地骨皮各4.5g。水煎服。 ⑿百部膏(《中国中医秘方大全》)治线状扁平苔藓:百部9g,白鲜皮9g,大枫子9g,血竭9g,当归9g,木鳖子9g,狼毒9g,黄柏9g,雄黄5g。研为细末,用凡士林调成20%软膏,每日涂擦1次。 ⒀疥疮净方(《中国中医秘方大全》)治疥疮:百部20g,槟榔8g,苦参16g,蛇床子16g,苦楝子8g,青蒿8g,大黄8g。将药物粉碎过20目筛,用70%乙醇400ml,按渗漉法操作,初渗100ml,留下备用,其余渗液适当浓缩至100ml,合并装瓶备用,供外搽。 ⒁苍百防虫袋(《中国中医秘方大全》)防治螨类虫咬:苍术3份,百部3份,辣蓼3份,蛇床子3份,雄黄1份。将药混合碾碎,粗细以不漏出药袋为准,每20g装入2层网纱布小袋内,挂在患儿腰间。发疹多时,可在腰前后各挂1个,亦可放置床上。 ⒂芩部丹方(《中国中医秘方大全》)治肺结核:黄芩、百部、丹参。共为细末,加工成片剂,每日10片(含黄芩9g,百部18g,丹参9g),分2次饭后口服,3个月为1疗程。 ⒃《四川中药志》:“治肺结核咳嗽:百部、白及、紫菀各等量研末,每服3g,每天2~3次。” ⒄《壮族民间用药选编》:“治阴囊湿疹:百部块根、黄藤藤茎、青凡木枝叶各适量,水煎浓汁,外洗患处。” ⒅中成药研究 1982;(9):“治局限性瘙痒症:百部12g,茵陈12g,苦参12g。将上药共包于纱布内,煮沸煎汤半盆,熏洗或坐浴,每日1剂,1剂2煎,早晚各1次。” ⒆新中医 1983;(8):“治酒渣鼻:百部、苦参、雷丸各研成细末,以5:2:2之比例混合均匀,取药粉15~20g与雪花膏80~85g混合,制成15%~20%的药物雪花膏霜,每晚睡前用硫磺皂清洗面部,然后外搽,翌晨洗去,20天为1疗程。” ⒇江苏中医 1988;(4):“治痉挛性百日咳:百部、黄芩、桑皮、天竹子各10g,羚羊角粉0.6g,黛蛤散(布包)15g。水煎服。羚羊角粉作2次开水调服。” (21)陕西中医 1986;(10):“治慢性气管炎:百部20g,水煎2次合并药液60ml,每服20ml,1日3次,可加少许白糖或蜂蜜矫味。” (22)百蛇合剂(辽宁中医杂志 1990;(10))治疗阴虱病:百部、蛇床子、黄柏各200g,将上药洗净,加水3kg,文火同煎1小时,过滤取汁,浓缩至500ml,装瓶备用。治疗前剃掉阴毛,焚烧阴毛,内衣衬裤煮沸。将合剂均匀地涂擦于患处,每日3次,涂药后局部不得清洗。治疗期间不得同房,保持外阴清洁。

单方应用:①《补缺肘后方》:“治卒得咳嗽:生姜汁、百部汁,和同合煎。服40ml。” ②《续十全方》:“治暴嗽:百部藤根捣自然汁,和蜜等份,沸汤煎成膏,咽之。” ③《杨氏经验方》:“治遍身黄肿:掘新鲜百部根,洗捣,罨脐上,以糯米饭15g,拌水酒10ml,揉饭盖在药上,以帛包住,持1~2日后,口内作酒气,则水从小便中出,肿自消也。” ④《圣济总录》:“治蚰蜒入耳:百部(切、焙),捣罗为末,以0.4g,生油调涂于耳门上。” ⑤中医杂志 1981;(4):“治酒渣鼻,百部100g,水洗净,泡于95%乙醇200ml中,5~7天后,取滤液搽患处,每日2~3次。”

医药家论述

①李时珍《纲目》:“百部,亦天门冬之类,故皆治肺病杀虫,但百部气温而不寒,寒嗽宜之;天门冬性寒而不热,热嗽宜之,此为异耳。” ②缪希雍《本草经疏》:“百部根,《蜀本草》云微寒,《日华子》言苦,《本经》言微温者误也。苦而下泄,故善降,肺气升则喘嗽,故善治咳嗽上气。能散肺热,故《药性论》主润肺。其性长于杀虫,传尸骨蒸劳,往往有虫,故亦主之。疳热有虫,及蛔虫、寸白虫、蛲虫、皆能杀之。百部味苦,脾虚胃弱人宜兼保脾安胃药同用,庶不伤胃气。” ③刘若金《本草述》:“百部,乃先哲多谓其能治久嗽,损庵所云,治久嗽用以保肺者也。以此治暴嗽者,宜于肺气素虚之人,而随分寒热,用以佐之,如寒则生姜,热则和蜜,如治久嗽者加蜜,固为其虚而定有热也,岂漫无区别乎哉?” ④陈士铎《本草新编》:“百部,杀虫而不耗气血,最有益于人,但其力甚微,用之不妨多也。然必与参、茯、芪、术同用为佳。大约用百部自一钱为始,可用至三、四钱止,既益肺胃脾之气,又能杀虫。倘痨病有传尸之虫者,须同地骨皮、沙参、丹皮、熟地、山茱共用为好。” ⑤张寿颐《本草正义》:“百部,善于杀虫即劳瘵家肺中有虫,亦是虚热;此其专药,似不可谓之性温,故甄权以为甘,《大明》以为苦,苏恭且以为微寒,缪氏《经疏》直谓《别录》为误,盖亦有理。然即曰微温,亦如紫菀温润,专治肺咳之例,究非温热之温,故凡有咳嗽,可通用之。本是单根,而多者可数十茎,性专下降,故治上气。濒湖谓百部亦天门冬之类,故皆治肺病,杀虫,但百部气温而不寒,寒嗽宜之,天门冬性寒而不热,热嗽宜之,颐谓濒湖此说,尚嫌太泥,实则门冬甘腻,止可治燥热之嗽,而肺有寒饮痰滞者,皆其大忌。百部虽曰微温,然而不燥且能开泄降气,凡嗽无不宜之,而尤为久嗽虚嗽必需良药。程钟龄《医学心悟》止嗽散,颇有捷效,功力实在紫菀、百部二味,宣肺通气;《千金方》谓一味取汁浓煎,可愈三十年嗽,有自来矣。石顽谓肺热劳瘵喘嗽,有寸白虫者宜之,蛲虫痢及传尸骨蒸多用之。又谓脾胃虚人弗用,以其味苦伤胃之故。颐谓专主上气,正其味苦之功,凡嗽皆肺气上逆,非此不治,若嫌其微伤胃土中和,以参、术之品相辅而行可也。”

参考文章