肥皂荚

概况

异名:肉皂角(《药材学》)。

基源:为豆科肥皂荚属植物肥皂荚的果实。肥皂荚属全世界3~4种;中国1种,药用。

原植物:肥皂荚Gymnocladus chinensis Baill.,又名肥猪子(《中国树木志略》),肥皂树、油皂(湖南)。

历史:本品始见于《纲目》。谓:“肥皂荚生高山中。其树高大,叶如檀及皂荚叶;五六月开白花;结荚长三四寸,状如云实之荚,而肥厚多肉;内有黑子数颗,大如指头,不正圆,其色如漆而甚坚,中有白仁如粟,煨熟可食,亦可种之。”其形态描述与本种相符。

形态:落叶乔木,无刺,高5~12m;树皮灰褐色,皮孔白色;嫩枝被锈色或白色短柔毛,后脱落。二回双数羽状复叶,长20~25cm,叶轴具槽,被短柔毛;羽片5~10对;小叶8~12对,互生,近无柄;小托叶钻形,小叶片长圆形,长2.5~5cm,宽1~1.5cm,两端圆钝,先端微凹,基部偏斜,两面被绢毛。总状花序顶生,被短柔毛;花杂性,白色或带紫色,下垂,具长梗;苞片小;花萼钟形,长0.5~0.6cm,被短柔毛;萼齿钻形,短于花托;花瓣片长圆形,先端钝,长于萼片,被硬毛;花丝被柔毛;子房无毛,无柄,胚珠4~5,花柱粗短,柱头头状。荚果长圆形,长7~10cm,宽3~4cm,扁平或膨胀,无毛,先端具喙。种子2~4,近扁球形,直径约2cm,黑色,光滑。花期5~6月,果期8月。(图见《中国植物志》.第39卷.80页.图版27)

生境与分布:生于海拔150~1500m山坡、谷地、杂木林中以及岩边、村边。现广为栽培。分布于江苏、安徽、浙江、江西、福建、湖北、湖南、广东、广西、四川。

生药

采集:10月采摘果实,阴干。

化学性质

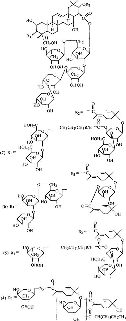
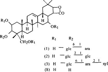
含2个单萜糖甙:(6S)-2顺式-6-α-L-吡喃阿拉伯糖氧基-2,6-甲基-2,7-辛二烯酸〔(6S)-2-trans-6-α-L-Arabinopyranosyloxy-2,6-dimethyl-2,7-Octadienoic acid〕、(6S)-2-反式-2,6-二甲基-6-〔3-O-(β-D-吡喃葡萄糖基)-4-O-(2-甲基丁酸基)-d-L-吡喃阿拉伯糖氧基-2,7-辛二烯酸〔(6S)-2-trans-2,6-Dimethyl-6-〔3-O-(β-D-glucopyranosyl)-4-O-(2-methylbutyroyl)-d-L-arabinopyranosyloxyl-2,7-octadienoic acid〕[1],三萜皂甙:肥皂荚皂甙(Gymnocladus saponin)A(1)、B(2)、C(3)、D、D1(4)、E(5)、F1(6)、F2(7)、G,其皂甙元(Sapogenin)为2β,23-Dihydroxy acacic acid lactone(8)[2]

Gymnocladus saponin D的结构为2β,23-二羟基-3-O-α-L-吡喃鼠李糖基-21-O〔(6S)-2-反式-2,6-二甲基-6-α-L-吡喃阿拉伯糖氧基-2,7·辛二酸基〕金合欢酸28-O-β-D-吡喃木糖基-(1→3)-β-D-吡喃木糖基-(1→2)-〔L-吡喃鼠李糖基-(1→6)〕-β-D-吡喃葡萄糖基-(1→2)-β-D-吡喃葡萄糖甙的(6S)-2-反式-2,6-二甲基-6-羟基-2,7-辛二酸盐[3]

Gymnocladus saponin D1(4)、E(5)、F1(6)、F2(7)的结构式为[4]

Gymnocladus aponin G的结构为2β,23-二羟基-3-O-〔β-D-吡喃木糖基-(1→2)-α-L-吡喃阿拉伯糖基-(1→6)-β-D-吡喃葡萄糖基〕-21-O-{(6S)-2-反-2,6-二甲基-6-〔3-O-(β-D-吡喃葡萄糖基)4-O-(2-甲基丁酸基-α-L吡喃阿拉伯氧基〕-2,7-辛二烯酸基)金合欢酸28-O-β-D-吡喃木糖基-(1→3)-β-D-吡喃木糖基(1→4)-α-L-吡喃鼠李糖基-(1→2)-〔α-L-吡喃鼠李糖基-(1→6)〕-β-D-吡喃葡萄糖甙(2β,23-Dihydroxy-3-O-〔β-D-Xylopyra nosyl-(1→2)-α-L-arabinopyranosyl-(1→6)-β-D-glucopyranosyl〕-21-O{(6S)-2trans2,6-dimethyl6-〔3-O-(β-D-glucopyranosyl)-4-O-(2-methylbutyroyl-α-L-arabinopyranosyloxy〕-2,7-Octadienoyl)acaciic acid 28-O-β-D-xylopyranosyl-(1→3)-β-D-xylopyranosyl-(1→4)α-L-rhamopyranosyl-(1→2)-〔α-L-rhamnopyranosyl-(1→6)〕-β-D-glucopyranoside)[4]

参考文献

[1] Chem Pharm Bull 1984;32(7):2617。
[2] Chem Pharm Bull 1984;32(12):4833。
[3] Chem Pharm Bull 1985;33(11):4732。
[4] Chem Pharm Bull 1987;35(1):46。

药性

性味:辛,温。 ①《纲目》:“辛,温,微毒。” ②《本草汇言》:“辛,温。” ③《全国中草药汇编》:“辛,温。”

功效:祛风除湿,活血消肿。

主治:风湿疼痛,跌打损伤,疔疮肿毒。 ①《纲目》:“去风湿,下痢,便血,疮、癣、肿毒。” ②《中国药用植物图鉴》:“祛痰。治咳嗽痰塞。” ③《中药大辞典》:“除顽痰,洗垢腻。治咳嗽痰梗,痢疾,肠风,便毒,头疮,疥癣。”

用法用量:内服:煎汤,1.5~3g;或入丸、散。外用:捣敷、研末撒或调涂。

使用注意:《本草汇言》:“胃弱少食,不食之疾,忌用之。”

临床应用

单方应用:①《普济方》:“治肠风:肥皂英(独牙者),烧灰存性,以1片研末,糕糊丸,1片为末,饮汤调吞下。” ②《普济方》:“治秃瘌痢流脓:独核肥皂英,去核,用砂糖填满,中放巴豆2枚,麻绳扎定,盐泥固之,火煅,青烟起,存性。去泥,入槟榔末,轻粉1.5~3.5g,研匀,用香油调敷。先用热汤泡灰汁洗净,再用温水洗去,软帛挹干,敷药1宿,便见效,敷后不须再洗。” ③《简便单方》:“治便毒初起:肥皂英捣烂敷之。” ④《简便单方》:“治癣疮不愈:川槿皮煎汤,用肥皂英去核及内膜,浸汤,时时搽之。” ⑤《卫生家宝方》:“治风虚牙肿,老人肾虚,或因凉药擦牙致痛:独子肥皂英,以青盐实之,烧存性,研末掺之。或入生樟脑少许。” ⑥《海上方》:“治小儿头疮,因伤汤水成脓,出水不止:肥皂英烧存性,入腻粉麻油调搽。” ⑦《摘元方》:“治头耳诸疮,眉癣,燕窝疮:肥皂英(煅存性)3g,枯矾0.3g,研匀,香油调涂之。” ⑧《摄生众妙方》:“治玉茎湿痒:肥皂英1个,烧存性,香油调搽。” ⑨《福建药物志》:“治阴道滴虫病,癣:肥皂荚果实捣烂,涂或水煎洗患处。”

食疗:《乾坤生意》:“治下痢噤口:肥皂荚1枚,以盐实其内,烧存性为末,以少许入白米粥内食之。”

医药家论述

①缪希雍《本草经疏》:“凡肠胃有垢腻秽恶之气,郁于中则外生瘰疬恶疮肿毒;泄于外则为肠风,下痢脓血。肥皂荚专能荡涤垢腻,宣通秽积,肠胃洁净则诸证自除也。” ②张璐《本经逢原》:“肥皂荚,除顽痰垢腻,不减二皂(牙皂,长皂)。痴病胜金丹用之,亦取涌发,不使砒性留于肠胃之意。” ③李时珍《纲目》:“荚:辛、温,微毒。去风湿下痢便血,疮癣肿毒;核除风气。”

参考文章