睡菜根

概况

异名:过江龙(《贵州民间草药》)。

基源:为龙胆科睡菜属植物睡菜的根。

原植物:睡菜Menyanthes trifoliata L.

余项参见“睡菜”条。

化学性质

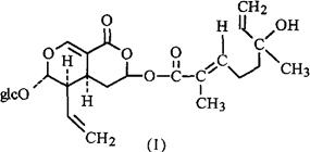
含白桦脂酸(Betulinic acid)[1]、睡菜根甙甲(Menthiafolin)(1)、睡菜根甙乙(Foliamenthin)、双氢睡菜根甙乙(Dihydrofoliamenthin)[2]

参考文献

[1] CA 1959;53(14):13513a。
[2] Chem Commun 1968:1276。

药性

性味:《贵阳民间药草》:“甘、微苦,平。”

功效:润肺,消炎。

主治:止咳,消肿,降血压。

用法用量:内服:煎汤,10~15g(鲜品30g)。

临床应用

单方应用:①《贵阳民间药草》:“润肺止咳:鲜过江龙30g(干品15g)。炖肉吃或煎水吃。” ②《贵阳民间药草》:“消湿肿,治风湿痛:过江龙、通花根各15g(干的)。煎水吃。” ③《吉林中草药》:“治高血压:睡菜根15g。捣汁,日服2次。”