药材名称:花叶假杜鹃红豆蔻
名称出处:广州空军《常用中草药手册》
概况异名:刺血红、七星剑、血路草(广州空军《常用中草药手册》)。
基源:为爵床科假杜鹃属植物花叶假杜鹃的全株。假杜鹃属植物全世界约230种;中国有3种,均可药用。
原植物:花叶假杜鹃Barleria lupulina Lindl.
形态:灌木,高约2m。茎多分枝。叶对生,披针形或卵状披针形,长4~8cm,顶端渐尖,基部楔形,全缘,两面有白色柔毛;叶柄短,叶柄基部有一对向下倾斜的针刺,紫红色。穗状花序顶生或腋生;花黄色;苞片大;萼片4,成对,外面一对最大;花冠长,5裂。蒴果。花期夏秋。(图见《中药大辞典》.上册.2169条图)
生境与分布:生于山谷湿地村旁,或于园圃中栽培。分布广东、广西。
生药采集:全年可采。
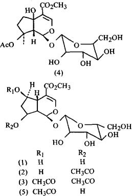
化学性质地上部分含多种环烯醚萜甙类:山栀甙甲酯(Shanzhiside methy ester)(1)、假杜鹃精(Barlerin,8-O-Acetylshanzhiside methyl eter)(2)、乙酰假杜鹃精(Acetylbarlerin,6,8-O,O-Diacetylshanzhiside methyl enter)(3)[1],少量的Ipolamidoside(4)和新化合物氧乙酰山栀甙甲酯(OAcetylshanzhiside methyl eter)(5)[2]。
参考文献
[1] J Nat prod 1986;49(1):179。
[2] Aust J Chem 1987;40(5):785。
药性
性味:辛、苦,温。
功效:通经活络,解毒消肿。
主治:毒蛇咬伤,犬咬伤,跌打损伤,痈肿,外伤出血。
用法用量:内服:煎汤,6~9g。外用:捣敷。
使用注意:孕妇忌服。
临床应用单方应用:《全国中草药汇编》:“治毒蛇咬伤,犬咬伤,跌打损伤,痈肿,外伤出血:花叶假杜鹃6~9g,内服。孕妇忌服。外用适量,鲜叶捣烂敷患处。”