[拼音]:pinlü wendingdu celiang
[外文]:frequency stability measurement
对频率源输出频率值的随机起伏特性的测量。也包括对各种频率控制部件所附加的随机起伏特性的测量。
频率稳定度
有时域和频域两种表征方式。
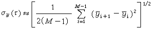
(1)时域频率稳定度:用信号频率 v0 的相对频偏
在一定的采样时间τ内的平均值的方差来表示。一般采用无间隙双采样方差σy(τ)即阿仑方差的方根值作为时域频率稳定度的统一表征量。阿仑方差可表示为
式中〈 〉表示无穷个采样的平均。实际测量只能是有限的测量次数M,它的估值表达式为
人们习惯按采样时间长短区分长期稳定度和短期稳定度。长期指日、月或更长,而短期指分、秒或更短。
(2)频域频率稳定度:用频率或相位随机起伏的谱密度来表示。通常, 采用相对频偏y(t)的谱密度 Sy(f)作为频域频率稳定度的统一表征量。此外,人们也常用相位起伏ψ(t)的谱密度Sψ(f),以及单位带宽内一个调相边带功率与信号功率之比L(f)来表征。典型的振荡器和各种两端口器件的频域稳定度可用五种幂律谱噪声的组合来近似地表示,即
式中α为代表噪声类型的整数,α=2为白色调相噪声、α=1为闪变调相噪声、α=0为白色调频噪声、α=-1为闪变调频噪声、α=-2为随机游动调频噪声;f为傅氏频率;hα为表示噪声强度的系数。频率稳定度的时域和频域表征量可以相互转换。
频率稳定度的测量
时域频率稳定度的测量方法主要有五种。
(1)差拍法:其原理如图1。将被测信号和参考信号同时送至双平衡混频器,差拍出频率为两信号频率差的一低频信号,经低通滤波及限幅放大后,馈至电子计数器。计数器按选定的采样时间τ重复测量此差拍信号的周期或频率值(M次),再按时域频率稳定度的估值表示式计算σy(τ)值。
(2)双混频时差法:其原理如图2。振荡器(1)为被测振荡器,振荡器(2)为参考振荡器。两个信号分别送至一对双平衡混频器的相应端口,与公共的转换振荡器差拍出低频信号,用计数器测量两差拍信号的时差,然后用σy(τ)的估值公式计算时域频率稳定度。此方法主要适用于准确度很高且不能相互调偏的原子频标时域稳定度的测量。
(3)频差倍增法:先将被测信号的频率起伏用频差倍增器倍增,然后用计数器测倍增后信号的频率,按σy(τ)的估值表示式计算时域频率稳定度。此法适用于整数定点频率的精密频率源的时域频率稳定度的测量。上述三种方法主要用于短期稳定度的测量。
(4)时差法:被测信号和参考信号分别经过分频器分频,并经放大整形后形成脉冲。分别送计数器的起动和停止输入端口测量它们的时间间隔(即时差),然后按σy(τ)计算时域频率稳定度。此法适用于原子钟长期稳定度和漂移率的测量。
(5)比相法:利用鉴相器比较两同频信号的相位,用模拟式记录器自动记录鉴相器输出电压。根据记录的曲线可以计算被测信号的频率漂移率和长期频率稳定度。此法主要适用于原子频标长期稳定度和漂移率的测量和监测。
频域稳定度常用的测量方法主要有三种。
(1)锁相法:其原理如图3。利用鉴相器和锁相环路把待测信号的相位起伏转换为电压起伏,然后用频谱分析仪测量其谱密度随傅氏频率的分布特性,从而完成Sψ(f)的测量。通常采用低噪声双平衡混频器作为鉴相器。一般使锁相环路工作在松锁状态,此时系统具有很平坦的鉴相特性。有时也使系统的锁相环路工作在紧锁状态,此时系统则处于鉴频状态。此法具有频带宽、系统噪声低等特点。
(2)鉴频法:利用各种无源器件(如延迟线、谐振器)的选频特性,将待测频率源的频率起伏变为电压起仪,再用频谱仪进行频谱分析。因其不需另一参考频率源,故又称无源法或单源法。此法主要用于分析微波高功率频率源的较高傅氏频率段的频域稳定度。
(3)外差计数器法:测量原理与时域差拍法基本相同,只是在计数器测量差拍频率的采样方式和估算测量数据所采用的方差有所不同。比如可利用哈达马方差换算并给出频域频率稳定度的表征。此法适用于分析近载频的相位噪声。
频率稳定度的测量误差
包括测量系统本身噪声的引入误差(主要取决于测量系统前置级混频器、倍频器等的噪声)、参考源不稳定性引入的误差,以及数据处理引入的误差。时域短期稳定度测量系统的不稳定度可达1×10-13 /τ(秒);频域测量系统的剩余噪声可达到-170分贝/赫。