[拼音]:zaosheng chongji
[外文]:noise impact
噪声对某区域内全部人员在社会生活各个方面产生的总影响,称为噪声冲击。
冲击这个名词是20世纪60年代在许多国家开始使用的,用以衡量某一新的措施、计划、产品或程序对于环境的影响。70年代逐渐推广,应用于声学环境质量的评价,也用于比较两个地区或两种噪声的噪声污染情况。
表示方法
首先根据噪声的危害,确定评价标准。在日常生活中评价噪声以人们对吵闹程度的感觉为主,对于75分贝以上的高噪声还要考虑对人的听力损伤。噪声一般用全年昼夜等效声级 (YDNL)或昼夜等效声级(Ldn)表示(见噪声的主观评价)。
计算方法
根据每一声级噪声对人群的作用,给该声级一个计权因数,再将这个因数乘以该声级作用下的人数,就是这个声级的冲击量,即将所考虑的区域的声级Ldn按大小分成等级,求得每一声级的冲击量,相加即得总计权人数:TWP=∑WiPi。式中Pi为处于i声级范围的人数;Wi为i声级的无量纲的计权因数,表示i声级的冲击的大小,相当于受到影响的程度指数。每人平均受到的噪声冲击指数NII=TWP/∑Pi。式中∑Pi为总人数。
常用的计权因数称为干扰计权因数。研究结果表明,干扰冲击可以作为在一般较长时间内噪声对人们的各种活动(睡眠、休息、工作、学习等)影响的一种总的评价。各声级的干扰计权因数见表1。
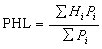
当Ldn大于75分贝时,要考虑噪声对人体健康的危害,最明显的是噪声对听力的影响。这种噪声暴露包括上班和下班时间在内。预计听力损失 PHL代表暴露在昼夜声级Ldn下40 年后平均在500、1 000、2 000、4 000赫的噪声性听力损失。它等于:
Hi为听力保护计权因数,由于这种危害随声级增加很快,因此按声级每一分贝的数值给出计权因数,见表2。预计听力损失 PHL可以与噪声冲击指数NII同用,但不能代替后者。此外尚有睡眠、语言干扰等各种计权因数,但应用得不普遍。
脉冲声的冲击计算
对低、中强度的脉冲声,如果忽略脉冲初期过程中的惊恐作用,仍可用上述的Ldn方法计算。对强脉冲(C声级大于75分贝,并且脉冲过程中每2秒间都有10分贝的升高),计算中应用C声级代替A声级,更符合对人的实际危害情况,其他计算方法与上面介绍的相似。