发射极耦合逻辑电路

以多个晶体管的发射极相互耦合加上射极跟随器组成的电路,简称ECL电路。其基本单元电路由提供“或”、“或非”逻辑功能的电流开关和完成电平位移与级联的射极跟随器两部分组成(图1)。输入输出的逻辑关系为

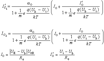
公式 符号

由输入晶体管T1、T2、T3、T4和定偏晶体管Tb构成差动式结构的电流开关,其间的耦合是通过发射极电阻Re实现,因名发射极耦合逻辑电路。Tb的基极接有固定偏压Ub,当有m个输入管的基极加入信号Ui时,流过C1C2两点的电流满足下式

公式 符号

式中αO为输入和定偏管共基直流放大系数。

图

随着Ui的变化,IO在差分对中切变(图2)。当输入信号满足公式 符号时,电路具有整形性质,C1C2两点出现用电流电平或电压电平辨别的四个状态,因而又称电流开关。它靠Ui对电流的引导完成电流开关作用。

图

1958年,制出第一块电流开关,并成功地使用了射极跟随器作电平移动,解决了信号电平的级联问题,改善了ECL电路的基本单元电路。

为了保持电路的非饱和性质,ECL电路的逻辑幅度的典型值为0.8伏,高电平的典型值为-0.8伏。低电平的典型值为-1.6伏,定偏晶体管基极参考电平为-1.2伏。由于发射极耦合电阻Re的负反馈作用,电路工作时电流是在差分对中切变,不产生大的扰动。同时,由于射极跟随器的隔离作用而能保证电路在较小的逻辑幅度下也能稳定可靠地工作。

ECL电路的特点是速度快。电路中,晶体管工作于非饱和区,Tb在共基极组态下工作。电路差动式结构的加速作用,使共发射极的输入管实际工作在准共基极状态下。小的逻辑幅度等条件保证了电路的高速度。电路的另一特点,是逻辑功能的灵活性。使用ECL电路的互补输入输出,同相集电极的“点与”,跟随器输出的“线或”,以及多层逻辑门的“串联与”等,可以扩充电路的逻辑功能,节省电路功耗和元件数,为电路的逻辑设计和逻辑运用带来灵活性和方便性。ECL 电路的缺点是电路功耗大、电平阈值电压随温度而漂移等。

电流开关在60年代即已用于计算机,使计算机的性能大大提高。

参考书目
  1. 复旦大学微电子教研组编:《集成电路设计原理》,人民教育出版社,北京,1978。