气体动力学

流体动力学的重要分支,主要研究密度有较大变化公式 符号的气体的流动,包括各种管道和透平机械通道中高速气体的流动,物体在大气中的高速运动,爆炸、快速关闭阀门或物体在气体中突然加速引起的流体流动等。气体动力学考虑流体热力状态的变化,所以与热力学有密切的联系。

声速

弹性介质中微小扰动的传播速度。气体动力学研究的弹性介质就是可压缩流体。声速反映扰动传播过程中流体压力对密度的变化率。扰动传播过程是定熵过程(见热力过程、熵)。因此,声速

公式 符号

式中p为压力,公式 符号为密度,下角标s表示定熵过程。

对于常比热容理想气体

公式 符号

式中γ为比热容比,R为气体常数,T为热力学温度。

对于空气

公式 符号

例如15℃(288.15K)空气的声速为340.2米/秒。

马赫数、马赫锥、马赫角

当地流速(空间某点的流速)与声速的比值称为马赫数Μa。Μa>1的流动称为超声速流,Μa<1的流动称为亚声速流。超声速流与亚声速流中的扰动传播有本质的差别。图中A为扰动源,若气体没有流动(即速度v=0),则扰动以A为中心,Cτ为半径的球面波传播,τ为时间。若气体以匀速v向右流动,则球面波中心以气流速度v前进。这时,对于亚声速流(Μa<1)τ秒后扰动的影响区在对A点偏心的球面内,扰动向各个方向传播,经足够长时间后可达到流场中任何地方;但对于超声速流(ΜaA为顶点的圆锥传播,这一圆锥称为马赫锥,锥角公式 符号称为马赫角。

图 定常定熵流动

定熵流动是流动中不发生激波、流动时与外界没有热交换、且忽略了粘性影响的流动。定常流动是流场中各点的物理量(如压力、速度)均不随时间变化的流动。许多实际流动,如管道和透平机械通道中的流动,通常可认为是定常定熵流动。这时沿流线的熵值不变。

气体在截面积缓慢变化的管道内作定常定熵流动时,截面积变化与速度变化的关系式为

公式 符号

式中A为管道横截面积;v和Μa分别为截面上的平均流速和马赫数。

(1)Μa<1时,若管道截面积沿着流动方向减小,则流速增大;若截面积增大,则流速减小。

(2)Μa>1时,恰恰相反。

(3)声速截面(Μa=1)一定是最小截面。这种性质表明,从大容器中流出的气体,必须通过先收缩后扩张的喷管才有可能得到超声速出口气流,这种喷管称为拉瓦尔喷管。如果大容器中的气体通过收缩喷管流出,则出口气流速度最大为声速。

变截面管道内通过的质量流量qm=公式 符号vA,式中公式 符号v为管道单位面积上通过的质量流量,称为密流。声速截面处截面积最小,密流最大。这时单靠降低喷管下游压力(即背压)已不能增大流量,这种现象称为堵塞,堵塞时喷管中的流量称为堵塞流量。

滞止参数

对于流场中任一具有速度的流体质点,假想它定常定熵地滞止到速度为零时,该质点的热力状态参数称为该点的滞止参数,又称驻点参数,用下角标“0”表示。

定常定熵流动中,滞止参数沿流线保持不变,激波前后滞止温度相同,但激波后滞止压力下降。

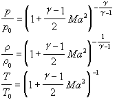
定熵关系式

常比热理想气体作定常定熵流动时,其热力状态参数对滞止参数的比值与马赫数的关系。其表达式为

公式 符号

对于各种常用气体,这种关系式已制成表格形式备查。

激波

流场中压力和密度突然增大的间断面(见激波)。

参考书目
  1. 李普曼等著,时爱民等译:《气体动力学基础》,机械工业出版社,北京,1982。(H.W.Liepmann and A.Roshko, Elements of Gas Dynamics,John Wiley and Sons,New York,1957.)