纳维-斯托克斯方程

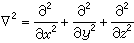
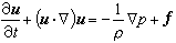
牛顿第二定律在不可压缩粘性流动中的表达式。简称N-S方程。此方程是法国力学家、工程师C.-L.-M.-H.纳维于1821年创立,经英国物理学家G.G.斯托克斯于1845年改进而确定的。它的矢量形式为:

公式 符号

在直角坐标中的分量形式为:

公式 符号 公式 符号 公式 符号 公式 符号 公式 符号 公式 符号

式中ρνpuf分别为液体密度、运动粘性系数、动水压强、流速矢量、单位质量的质量力;墷为矢量微分算符;公式 符号普拉斯算符。公式 符号为指定点处由于时间改变而引起的速度变化率,称为当地加速度;(u·墷)u 为指定瞬时由于空间位置改变而引起的速度变化率,称为迁移加速度;公式 符号ν2u分别为作用于单位质量液体表面的合压力与合粘性力;(uxuyuz)及(fxfyfz)为uf在直角坐标中的投影。

在某些情况下,合粘性力很小,可忽略不计,于是N-S方程简化为理想液体的欧拉方程。即:

公式 符号

对于需作流场分析的水力学问题,N-S方程有特别重要的意义。它和三维连续性方程一道组成不可压缩粘性流动完整方程组,附加一定的初始条件和边界条件,从理论上讲,就可以解出流速分布和压强分布。但N-S方程是非线性的二阶偏微分方程,仅在一些特定条件下,才能求出解析解。对于低雷诺数流动,可全部地或部分地略去惯性项,求得蠕动流近似解。对高雷诺数流动,在物体表面附近的边界层内,必须考虑粘性影响,按边界层方程求解;边界层外,粘性效应可以忽略,用欧拉方程近似求解。在很多情况下,特别是中等雷诺数的流动,可求出N-S方程的数值解。大型电子计算机的应用,为N-S方程的数值解开辟了广阔的前景。