离散时间非周期序列的傅里叶变换

把一个非周期的时间序列用连续频率的周期函数表示的一种变换方法。离散时间非周期序列χ(n)的傅里叶变换定义为

公式 符号     (1)

式中n为序号;ω为角频率,是代表角度的连续变量,单位为弧度。由于e公式 符号ω的连续的周期函数,所以X(ejw)也是ω的连续的周期函数,其周期为2公式 符号

从给定的 X(ejw)求χ(n)的过程称为上述变换的逆变换。变换与逆变换的关系为

公式 符号     (2)

式(2)可以从式(1)导出。χ(n)和X(ejw)称为离散时间非周期序列的傅里叶变换对。

X(ejw)为ω的函数,它是一个复函数,可用幅度及相位的形式表示为

公式 符号    (3)

式中|X(ejw)|和φ(ω)分别称为X(ejw)的幅度和相位。它们都是ω的函数。幅度|X(ejw)|随频率的变化称为幅频特性;相位φ(ω)随ω的变化称为相频特性。

公式 符号    (4)

式中T为抽样的时间间隔,公式 符号为一单位冲激串序列,χc(t)为抽样后的冲激序列,χ(nT)为在t=nT处的抽样值。

χ(t)的傅里叶变换为χ(jΩ),且令ΩTω,则χc(t)的傅里叶变换X(ejw)定义为

公式 符号   (5)

式(5)的X(ejw)可以有两种形式,即

公式 符号   (6)

公式 符号   (7)

式中Ωc=2公式 符号/T。式(6)说明抽样信号χc(t)的傅里叶变换等于抽样值χ(nT)序列的傅里叶变换;式(7)说明χc(t)的傅里叶变换X(ejw)是连续时间信号χ(t)的傅里叶变换X(jΩ)的周期延拓,而在幅度上相差一个1/T因子。

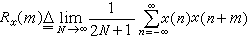
公式 符号称为χ(n)的总能量。如果公式 符号是有界的,则称χ(n)为能量有限信号,简称能量信号。令

公式 符号    (8)

式中rx(m)称为χ(n)序列的自相关函数。它也是一个能量有限的序列。rx(m)的傅里叶变换等于|X(ejw)|2,即

公式 符号    (9)

式中X(ejw)是χ(n)的傅里叶变换。它是一个周期的连续频率函数。由于从式(9)可得

公式 符号   (10)

而式(10)等号左侧为信号的总能量,所以|X(ejw)|2正比于单位角度内的信号能量,它又是随角频率ω而分布的,所以称它为信号χ(n)的能量密度谱,简称能量谱。

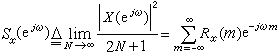
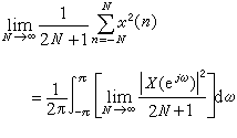
对于能量公式 符号是无界的信号,定义信号的功率为

公式 符号(11)

如果Px是有界的,则称χ(n)为功率有限信号,简称功率信号。这时再定义

公式 符号   (12)

式中Rx(m)称为序列χ(n)的自相关函数。可以看出,Rx(m)也是一个功率有限序列。Rx(m)的傅里叶变换

公式 符号  (13)

公式 符号   (14)

因为式(14)中等号左侧为信号χ(n)的功率,所以等号右侧的公式 符号正比于单位角度内的信号功率,并称它为功率密度;又由于它是随频率分布的,所以称之为功率密度谱,以Sx(ejw)表示,即

公式 符号   (15)

如果信号χ(n)的功率用Px表示,则式(14)变成

公式 符号  (16)

式(9)和式(15)分别为自相关函数rx(m)和Rx(m)对于能量谱|X(ejw)|2和功率谱Sx(ejw)的傅里叶变换关系。这两个关系都称为维纳-钦辛定理。式(10)与式(16)分别称为能量信号与功率信号的帕舍伐尔关系。