建筑设备隔振

为防止建筑物中的某些设备产生的振动危害建筑结构和干扰环境而在设备和建筑物之间装设隔振元件,减弱设备振动的传递的措施。建筑物中常用的易产生振动的设备有风机、泵、冷冻机和空气压缩机等。在进行工程设计时,应尽量选用振动较小的工艺流程和设备。对设备进行隔振,必须了解其振动特性、可能产生的后果、容许使用的标准和所需的隔振效率,并合理地确定设备安装位置、支承结构和选用适当的隔振元件。

隔振原理

隔振按振动的传递方向分为:

(1)积极隔振,即减弱由机器设备扰动而传出的振动,设备隔振属于此类;

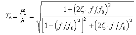
(2)消极隔振,即减弱通过房屋基础和设备基础所传入的振动,如精密仪器隔振,播音室、录音室、声学实验室等采用的固体声隔声。两者目的虽然不同,但都是在物体与基础之间装设隔振元件,并允许两者之间有相对运动而实现的。隔振效果用传递率TA来描述,TA为设备振动干扰传递给基础的力F1和干扰力F之比,其关系为:

公式 符号

式中f为设备的扰动频率;f0为隔振系统的固有频率;ζ为阻尼比,当阻尼比等于零时:

公式 符号

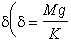
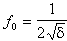
传递率TA与频率比f/f0之间的关系见图1。当ff0时,隔振元件无隔振效果;ff0时,由于共振会使振动放大;只有当公式 符号时,才有隔振效果。f0与隔振系统的静态压缩量公式 符号,M为质量,g重力加速度K为隔振元件的倔强系数公式 符号有关,即公式 符号。在实际应用中常用隔振效率ηr来表示隔振效果:ηr=1-TA

图

设备隔振设计

根据设备的扰动频率、推荐的隔振系统传递率和隔振效率(见表),求出隔振系统的固有频率和最大静态压缩量,以选择适当的隔振元件和惰性块。

图 隔振元件

包括隔振器和隔振垫两类,是用玻璃纤维、矿棉软木、橡胶和弹簧钢等材料制成。各种隔振元件的使用范围见图2。

图 惰性块

其作用是:减少设备振动;降低隔振系统重心,增进稳定性;降低固有频率,提高隔振效率;减少重量不均匀分布的影响,也可减少固体声。惰性块重量至少应等于其上负载的两倍,而往复式机器设备的惰性块通常是设备重量的3~5倍。惰性块越重,隔振作用越好。

安装和布置

当设备不与驱动电机组成一个单元时,必须安装在公共机座上,再由隔振元件支承,机器设备与机座的重心应在垂直方向与支承重心吻合。隔振系统最常用的布置方式是将相同的隔振元件对称布置,通常采用4~6个支点支承。当设备重量分布不均匀时,应按相同的静态压缩量来选用各个隔振元件,或用惰性块进行调整,使隔振元件受力均匀。

设备隔振

指建筑中常用的设备包括风机、泵、压缩机等的隔振。

风机

主要驱动频率为:轴转数×叶片数。大型风机转速为1000~1600转/分,根据其转子频率,须用固有频率较低的隔振元件,支承在厚度至少为5厘米的混凝土楼板上,或安装在惰性块上,再进行隔振。

离心泵通常有数个转子,转速又较高,可采用固有频率较高的隔振元件。往复式泵的转速低而缸数少,必须安装在惰性块上,并在管道上安装软管(图3)。

图 压缩机

往复式压缩机因转速较低,须用静态压缩量大的隔振元件,但必须有防止机器不稳定的措施。只有一两个气缸的压缩机,其平衡较差;有四个或更多的气缸时,平衡较好,位移较小。压缩机的主要驱动频率为:轴转数×气缸数。

防止振动短路和管道隔振 应用隔振元件后,必须防止出现振动短路,即在各房间之间,通过管道、电气管线或未采取隔振措施的紧固件等传递振动的现象。当螺栓穿过隔振元件时,应采用橡胶等弹性垫圈和套管,以防止金属件之间的振动短路(图4)。管道隔振通常采用局部配置橡胶软管,隔振降噪效果良好。

图
参考书目
  1. C.W.Harris,C.E.Crede,Shock and Vibration Handbook, 2nd ed., McGraw-Hill, New York 1976.
  2. I. D. Irwin,E.R.Graf,Industrial Noise and Vibration Control, Prentice Hill, New Jersey,1979.