[拼音]:yixiangqi
[外文]:phase shiffer
一种用以调节交流电压相位的装置。移相器一般是多相的,其结构如图所示。
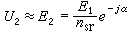
它和一台被堵转的绕线式三相异步电动机相似。通常定子绕组作为原绕组,转子绕组为副绕组。在移相器的转子转轴上装有一套蜗轮蜗杆。转动蜗轮蜗杆,能使移相器的转子相对于定子在一定范围内转动。当定子上的原绕组接三相交流电源后,气隙里产生的旋转磁场将在原、副绕组中分别感应出电动势E1和E2。其大小与各绕组的有效匝数成正比,而相位决定于原、副绕组轴线之间的相对位置。例如原、副绕组轴线在空间位置上彼此相差α电角度,忽略它们的漏阻抗电压降,可以得到原、副边电压的关系为
U1≈-E1
式中nsr是原、副边绕组的变比。改变转子的位置,可以改变副边电压相对于原边电压的相位,但输出电压的大小不变。