天线阻抗

天线和馈线的连接处称为天线的输入端或馈电点。对于线天线来说,天线输入端的电压与电流的比值称为天线的输入阻抗。对于口面型天线,则常用馈线上电压驻波比来表示天线的阻抗特性。一般,天线的输入阻抗是复数,实部称为输入电阻,以Ri表示;虚部称为输入电抗,以Xi表示。天线的输入功率Pi可以表示为

公式 符号

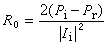
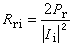
式中|Ii|为天线输入端的峰值电流;R公式 符号是以输入端电流为参考的辐射电阻

公式 符号

式中Pr为天线的辐射功率;R0是以输入端电流为参考的欧姆损耗电阻

公式 符号

一段载有均匀电流、长度l远小于工作波长λ的理想偶极天线称为电流元。它的辐射电阻Rr很小

公式 符号

天线的输入电抗表征储藏在天线近区场中的功率。电尺寸远小于工作波长的天线,其输入电抗很大,例如短偶极天线具有很大的容抗;电小环天线具有很大的感抗。直径很细的半波振子输入阻抗约为73.1+j42.5欧。在实际应用中,为了便于匹配,一般希望对称振子的输入电抗为零,这时的振子长度称为谐振长度。谐振半波振子的长度比自由空间中的半个波长略短一些,工程上一般估计缩短5%。谐振半波振子的输入阻抗约为70欧。

口面型天线的阻抗特性用馈线上某点的电压驻波比或反射系数来表示。当反射系数为零、驻波系数为 1时,称作匹配。

天线的输入阻抗与天线的几何形状、尺寸、馈电点位置、工作波长和周围环境等因素有关。线天线的直径较粗时,输入阻抗随频率的变化较平缓,天线的阻抗带宽较宽。

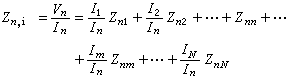
一个彼此靠近的很多个单元天线组成的辐射系统称为天线阵,天线阵中各单元之间以一种复杂的方式相互作用,这种现象称为互耦,其结果使各单元天线上的电流不仅与本身的激励有关,而且与相邻天线上的电流有关。在N元天线阵中,任一单元的输入阻抗为

公式 符号

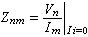
式中VnIn分别是第n个单元输入端的电压和电流;Z公式 符号是当其余单元为开路时第n个单元的自阻抗;Z公式 符号是第n个单元和第m个单元之间的互阻抗。互阻抗的定义是

公式 符号

式中i是除了m以外的各单元序号。由互易定理可知Z公式 符号=Zmn

研究天线阻抗的主要目的是为实现天线和馈线间的匹配。欲使发射天线与馈线相匹配,天线的输入阻抗应该等于馈线的特性阻抗。欲使接收天线与接收机相匹配,天线的输入阻抗应该等于负载阻抗的共轭复数。通常接收机具有实数的阻抗。当天线的阻抗为复数时,需要用匹配网络来除去天线的电抗部分并使它们的电阻部分相等。

当天线与馈线匹配时,由发射机向天线或由天线向接收机传输的功率最大,这时在馈线上不会出现反射波,反射系数等于零,驻波系数等于1。天线与馈线匹配的好坏程度用天线输入端的反射系数或驻波比的大小来衡量。对于发射天线来说,如果匹配不好,则天线的辐射功率就会减小,馈线上的损耗会增大,馈线的功率容量也会下降,严重时还会出现发射机频率“牵引”现象,即振荡频率发生变化。

对口面型天线来说,为了达到匹配状态,应当在所有产生反射的不连续点附近加上能够产生相反反射的匹配元件,使它们相互抵消。天线的频带由这些元件的组合频带决定。