[拼音]:dianli xitong wending
[外文]:power system stability
电力系统在正常运行时,经受干扰而不发生非同步运行、频率崩溃和电压崩溃的能力。这种抗干扰的能力是电力系统保证正常运行必须具备的。从狭义的观点看,电力系统稳定单指不发生非同步运行,不管电力系统中联接多少台发电机,联网地域有多大(全省、跨省区、跨国家),都要求在经受干扰时所有交流同步发电机保持同步运行。从广义的观点看,电力系统稳定研究的范围还包括电力系统稳定破坏后,电力系统进入非同步运行状态,而后在满足一定条件下再同步成功,又恢复同步运行的全过程,电力系统的这种能力称为综合稳定。为了便于应用现代数学方法和计算工具进行电力系统的计算分析,和在实际运行中更确切地检验电力系统稳定运行的水平并采取提高稳定的措施,把电力系统稳定分为静态稳定,暂态稳定和动态稳定三类。
静态稳定
电力系统受到小干扰后不发生自激振荡和非周期性的失步,自动恢复到起始运行状态的能力。常用小振荡法分析静态稳定以确定电力系统的稳定性和输送功率极限,检验在给定运行方式下的稳定储备。
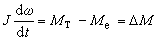
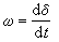
稳定判据在小干扰的条件下,电力系统的稳定决定于发电机转子的动力特性,可用转子的运动方程描述
式中J 为旋转质量的惯量矩;
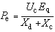
为转子的角速度;ΔM为作用在转子上的过剩转矩;MT为原动机力矩;Me为电磁转矩。同步发电机的电磁转矩与它的有功功率成正比,
,式中
sin δ为电磁功率,它与系统电压Us、发电机电动势Eq及功角δ(δ为Us与Eq之间的相位角)的正弦函数成正比,与发电机电抗Xq及系统联系总阻抗Xs之和成反比。如果用有功功率对功角的函数关系,可画成一正弦函数曲线(见图),在图中还可以画一平行横坐标的直线Pr,它被称为原动机功率曲线。
由Pe和Pr在图中构成的功角特性曲线的两个平衡点a和b可以看出,如果小干扰引起δ偏离a点,则在过剩功率作用下仍可返回初始状态a,在b点则不能返回。因而称a点为稳定点,b点为不稳定点。从稳定理论分析和图中可以得到过剩功率与功角 △δ的符号相反,则系统是稳定的,
即可作为实用判据,
将如图中虚线所示的余弦函数曲线。输电系统的功率极限也就是图中
的点所对应于功角特性sin δ=90°的顶点。因而静态稳定储备的计算式可写为
式中P
为输电系统的静态稳定极限输送功率,Pe0为设计(计算)所取运行方式下的输电功率,为保持电力系统运行,要有足够的静稳定储备,通常要求Kp≥15~20%(正常运行方式和正常检修运行方式),或Kp≥10%(事故后运行方式和特殊运行方式)。
列出发电机转子运行方程并线性化(多台发电机将有多组线性化的微分方程),与网络方程联立求解,即可根据全系统微分方程组的特征方程判别系统静态的稳定性。现代计算数学的进展和大型高速计算机的进步,为线性微分方程组的特征根求解提供了十分有效的方法。它可以在时域(在时间坐标)内进行稳定分析。按照全系统积分方程(矩阵形式)
凧=AX
的特征方程式丨A-λI丨=0,求出全部特征根λ。再根据λ的性质,判别系统在受到小干扰后振荡的特性和稳定的程度。式中A为系数参数矩阵,X为系统变量,凧为X的导数矩阵,I为单位矩阵。特征根的性质和稳定的判别见表。
提高稳定的措施
提高静态稳定的措施有:
(1)改善电力系统结构,使发电机与系统的联系紧密,如发电机直接升压到高压电网,而不经过几级变压器接入电力网络;长距离输电线路串联补偿电容器和中点并联补偿。
(2)发电机和同步调相机加装自动励磁调整器,如采用强力自动励磁调整器。
(3)在全系统各枢纽点安装足够的无功功率补偿设备以保持系统电压。
(4)调度人员密切控制各发电机运行的角度(如小于60°)和各中枢点电压,保持足够的有功和无功功率的储备。
暂态稳定
电力系统受到大干扰后,各同步电机保持同步运行并过渡到新的或恢复到原来运行方式的能力。通常指保持第一或第二个振荡周期不失步。暂态稳定的判据是电力系统遭受每一次大扰动(如短路、切除故障、切除线路、切机等)后,引起电力系统机组之间的相对功角 δ增大,在经过第一个最大值后作同步的衰减振荡,系统中枢点电压逐步恢复。暂态稳定计算分析的目的,是在规定运行方式和故障形态下,对系统稳定性进行校验,并对继电保护和自动装置以及各种措施提出相应的要求。
暂态分析计算普遍应用时域模拟方法。即列出电力系统包括各元件在内的数学模型(表现为对时间的微分方程),再采用数值解法求出各状态量的时间特性,然后根据暂态稳定判据进行分析。这种方法对于大型多机电力系统来说,所需的计算工作量很大,即使应用现代大型计算机仍然耗费机时较多。80年代以来,正在发展以李雅普诺夫直接法为基础的暂态能量函数的方法来直接分析电力系统暂态稳定性。这种方法不仅能快速给出是否稳定的判断,并能给出稳定度的数量指标。
提高暂态稳定的措施有:
(1)用快速保护和快速断路器把故障切除时间减少到0.1~0.15秒之内; ②将故障限制在故障区段内;
(3)用自动重合闸尽快恢复网络结构;
(4)自动切除水轮发电机组和快速关上汽轮机的汽门,以减少加速能量;
(5)采用线路故障联动切机或切除其他线路,以防止连锁反应而扩大事故;
(6)采用电气制动和控制补偿设备;
(7)控制负荷功率(如炼铝厂),切除部分负荷,以及控制直流线路的功率等。
动态稳定
电力系统受到小干扰或大干扰后,在自动调节和控制装置的作用下,保持长过程的运行稳定性的能力。
动态稳定计算分析的方法有两种:
(1)在小干扰下可采用特征值分析的方法,如同静态稳定,只是增加调节系统的微分方程式。多机电力系统由于方程阶次高,还可推导出特征向量,以判断应对哪台机、哪个环节采取何种措施。
(2)数值解的方法,如同暂态稳定,同样是增加调节系统的微分方程。数值解法用隐式积分法(梯形法,简单迭代法);对于大干扰的动态稳定的故障形态和地点选择与暂态稳定相同;对于小干扰的动态稳定,可以在某些稳定较弱的节点上,加一个很大的阻抗(R+jX=999999+j999999),然后进行数值解。若得到功角摇摆是增幅振荡或非周期扩散,则是不稳定。在小干扰的条件下,特征值分析法和数值解法两种计算结果可以互相对照。
提高动态稳定的措施有:
(1)对于网络结构不合理的系统,应增加线路回路数,发电机接入高压主网以增强系统联系;
(2)对于网络结构一定的情况下,合理配置电力系统稳定器,改善大型发电机快速励磁调节系统的参数和特性;
(3)控制直流线路的功率,以提高并列运行的交流线路的动态稳定性等。