ÍÁÌå¹Ì½áÀíÂÛ

ÍÁÌåÔÚÍâ¼ÓºÉÔØ×÷ÓÃÏ£¬ÓÉÓÚ¿×϶±È¼õÉÙ¶øÑ¹ÃܱäÐΣ¬Í¬Ê±Ìá¸ßÁËÇ¿¶È¡£¶ÔÓÚ±¥ºÍÍÁ£¬Ö»Óе±¿×϶ˮ¼·³öÒԺ󣬱äÐβÅÄܲúÉú¡£¿ªÊ¼Ê±£¬ÍÁÖÐÓ¦Á¦È«²¿ÓÉ¿×϶ˮ³Ðµ£¡£Ëæ×Å¿×϶ˮµÄ¼·³ö£¬¿×϶ˮѹÁ¦Öð²½×ª±äΪÓÉÍÁ¹Ç¼Ü³ÐÊܵÄÓÐЧӦÁ¦¡£Ñо¿ÕâÁ½ÖÖÓ¦Á¦µÄÏ໥Ïû³¤ÒÔ¼°ÍÁÌå±äÐδﵽ×îÖÕÖµµÄ¹ý³Ì£¬³ÆÎª¹Ì½áÀíÂÛ¡£

ɰÐÔÍÁµÄ±äÐÎÔÚÍâ¼ÓºÉÔØÊ©¼ÓÒÔºóºÜ¿ìÍê³É£¬¶øÕ³ÐÔÍÁÓÉÓÚ͸ˮÐԵͣ¬Æä±äÐεķ¢Õ¹ÔÚÍâ¼ÓºÉÔØ×÷ÓÃÒÔºó»¹ÒªÑÓÖͺܳ¤Ê±¼ä¡£Òò´Ë£¬Ñо¿¹Ì½áÊÇÕë¶ÔÕ³ÐÔÍÁ£¬¶øÇÒÊ×ÏÈÊÇÕë¶Ô±¥ºÍÕ³ÐÔÍÁµÄ¡£

ΪÁË˵Ã÷Õ³ÍÁµÄÉÏÊöÓ¦Á¦±ä»¯¹ý³Ì¶øÌá³öÁ˹̽áÄ£ÐÍ(ͼ 1)¡£ËüÓÉÈô¸É´øÓÐС¿×µÄ»îÈûÓõ¯»É´®Áª¶ø³É£¬²¢·ÅÔÚ×¢ÂúË®µÄÈÝÆ÷ÖС£µ¯»ÉºÍË®·Ö±ð±íʾÍÁ¹Ç¼ÜºÍ¿×϶ˮ£¬Ð¡¿×µÄ´óСÔòÏóÕ÷ÍÁ͸ˮÐԵĸߵ͡£µ±Íâ¼ÓºÉÔØÎ´Ê©¼Óʱ£¬ÍÁÖÐÖ»Óо²Ë®Ñ¹Á¦£»Ê©¼ÓºÉÔØÒԺ󣬾ÍÔö¼ÓÁËÏ൱ÓÚpµÄ³¬¾²Ë®Ñ¹Á¦u0¡£´Ëʱ£¬Ë®»¹À´²»¼°´ÓС¿×ÖÐÅųö£¬µ¯»ÉûÓÐѹËõ£¬ËµÃ÷Íâ¼ÓºÉÔØpÈ«²¿ÓÉË®³Ðµ£¡£Ëæ×Åʱ¼äµÄÍÆÒÆ£¬²»Í¬Éî´¦µÄË®ÒÔ²»Í¬µÄÁ÷ËÙvÏòÍâÅųö£¬¸÷¸öµ¯»É²úÉú²»Í¬³Ì¶ÈµÄѹËõ£¬Õâ±íʾ³¬¾²Ë®Ñ¹Á¦²¿·ÖµØ×ªÒƵ½ÍÁ¹Ç¼ÜÉÏ£¬´Ó¶øÊ¹ÓÐЧӦÁ¦¦Ò¡äÖð²½Ôö³¤¡£´ÓÈÝÆ÷±ÚÉϽӳöµÄ²âѹ¹Ü¿ÉÒԹ۲ⲻͬÉî¶ÈµÄ¿×϶ˮѹÁ¦ËæÊ±¼äµÄ±ä»¯¡£×îºó£¬µ¯»ÉµÄѹËõÇ÷ÓÚÎȶ¨£¬Ë®Ñ¹Á¦Ò²¼õСµ½Ô­À´µÄ¾²Ë®Ñ¹Á¦£¬Ò༴Íâ¼ÓºÉÔØÈ«²¿Óɵ¯»É³Ðµ££¬¹Ì½á¹ý³ÌÒò¶ø½áÊø¡£ÔÚÈκÎʱ¿Ì£¬¦Ò¡äÓëuÖ®ºÍºãµÈÓڸõãµÄ×ÜÓ¦Á¦¦Ò(¼ûÍÁÌåµÄѹËõºÍ±äÐÎ)¡£

ͼ Ö÷¹Ì½á

¿¼ÂÇλÓÚ²»Í¸Ë®²ãÉÏÃæ¡¢ºñ¶ÈΪHµÄ±¥ºÍÕ³ÍÁ²ã£¬Æä¶¥ÃæÎªÍ¸Ë®É°²ã£¬µØÏÂˮλÓëÕ³ÍÁ²ã¶¥ÃæÏàÆ½(ͼ2a)¡£µ±Ê±¼ät£½0ʱ£¬ÔÚÍâ¼ÓºÉÔØp×÷ÓÃÏ£¬ÍÁÖв»Í¬Éî¶ÈµÄ³õʼ¿×϶ˮѹÁ¦u0´¦´¦Îªp£¬Æäºó¿×϶ˮÖð²½ÓÉɰ²ãÅųö£¬ËüµÄÉøÁ÷·þ´Ó´ïÎ÷¶¨ÂÉ¡£½Ó½ü¶¥ÃæµÄË®×îÒ×Åųö£¬ËùÒÔÕâÀïµÄÉøÍ¸ËÙ¶Èv×î´ó¡£Ëæ×Åʱ¼äµÄÍÆÒÆ(0<t1<t2)£¬Õ³ÍÁ²ãÖ𲽹̽ᣬ vÖµÒ²Ô½À´Ô½Ð¡(ͼ2b)¡£Í¬Ê±£¬¿×϶ˮѹÁ¦uÒ²Öð²½×ªÒÆÎªÓÐЧӦÁ¦¦Ò¡ä¡£Á½Õß¼ÈÊÇÉî¶È zÒ²ÊÇʱ¼ätµÄº¯Êý£¬µ«ÆäºÍºãµÈÓÚÍâ¼ÓºÉÔØ£¨Í¼2c£©¡£¿×϶ˮµÄÅųöÓëÍÁ¹Ç¼ÜµÄѹËõÊÇñîºÏµÄ£¬µ«ÔÚ²»Í¬Ê±¼äºÍ²»Í¬Éî¶È£¬Õ³ÍÁ²ãµÄµ¥Î»Ñ¹ËõÁ¿ ¦ÅÒ²ÊDz»Í¬µÄ(ͼ2d)¡£µ±u0È«²¿×ªÒÆÎª¦Ò¡äʱ£¬ÍÁ²ãµÄ×îÖÕѹËõÁ¿S¡ÞΪpH/Es£¨EsΪճÍÁ²ãµÄѹËõÄ£Á¿£©£¬Ö÷¹Ì½á¹ý³ÌÍê³É¡£

ͼ

ÔÚ¹¤³Ìʵ¼ùÖУ¬µ±Õ³ÍÁ²ãÖеĿ×Ï¶Ë®ÑØ×ø±êϵµÄÈý¸ö·½ÏòÉøÁ÷£¨Èç¸ß²ã·¿Îݵĵػù£©Ê±£¬Ó¦²ÉÓÃÈýά¹Ì½áÀíÂÛ¡£¶þά¹Ì½áÀíÂÛÔòÓÃÀ´Ñо¿¿×϶ˮÖ÷񻄯Á½¸ö·½ÏòÉøÁ÷£¨ÈçÍÁ°Ó¼°ÆäµØ»ù£©µÄÇé¿ö¡£µ«µ±ÊܺÉÔØÃæ»ýÔ¶´óÓÚÕ³ÍÁ²ãºñ¶Èʱ£¬¿×϶ˮÖ÷񻄯ÊúÖ±·½ÏòÉøÁ÷£¬¿É½üËÆµØÓÃһά¹Ì½áÀíÂÛÑо¿¿×϶ˮѹÁ¦µÄ±ä»¯¹ý³Ì¡£

´Î¹Ì½á

½«ÊÒÄڹ̽áÊÔÑé½á¹û»æÖÆÔÚѹËõÁ¿-ʱ¼ä¶ÔÊýÇúÏßÉÏ£¬¿ÉÒÔ·¢ÏÖÔÚÖ÷¹Ì½á£¨Í¼3ÖеÄab¶Î£©´ïµ½98£¥(ÏàÓ¦µÄʱ¼äΪt98)ÒԺ󣬱äÐÎÈÔÔÚ·¢Éú£¬Õⲿ·Ö³ÆÎª´Î¹Ì½á£¨Í¼3£©ÖеÄb§ã¶Î¡£´Î¹Ì½áÊÇÔÚÓÐЧӦÁ¦»ù±¾Éϲ»±äµÄÇé¿öÏ·¢ÉúµÄ£¬²¢ÓëÍÁ²ãºñ¶ÈÎ޹ء£ËüµÄ²úÉú¹éÒòÓÚÍÁ¹Ç¼ÜµÄÈä±äºÍÍÁÖнáºÏË®ÓëÍÁ¹Ç¼ÜÖ®¼äÏ໥×÷ÓõÄËɳڣ¬Òò´Ë£¬´ïÎ÷¶¨Âɲ»ÔÙÓÐЧ¡£¶ÔÓÚËÜÐÔÖ¸ÊýºÜ¸ßµÄÈíÕ³ÍÁºÍÓлúÖÊÍÁ£¬´Î¹Ì½á³£Õ¼¿É¹ÛµÄ°Ù·Ö±È¡£

ͼ һά¹Ì½á

µ±¿×϶ˮÖ÷񻄯ÊúÖ±·½ÏòÉøÁ÷ʱ£¬K.Ì©¶ûÔú¼ª£¨Ò»Òë̫ɳ»ù£©¸ù¾Ý±¥ºÍÍÁÖÐ΢·Öµ¥ÔªÔÚµ¥Î»Ê±¼äÄÚµÄÁ÷Á¿±ä»¯Óë¿×϶±È±ä»¯ÂÊÏàµÈµÄÌõ¼þ£¬½¨Á¢ÁË¿×϶ˮѹÁ¦uºÍÉî¶Èz¡¢Ê±¼ätµÄһά¹Ì½á΢·Ö·½³Ì

¹«Ê½ ·ûºÅ¡¡¡¡¡¡¡¡¡¡¡¡¡¡ (1)

¹«Ê½ ·ûºÅ¡¡¡¡¡¡¡¡¡¡¡¡¡¡ (2)

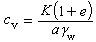
ʽÖЧãvΪ¹Ì½áϵÊý£¨cm2/sec£©£»KΪÊúÏòÉøÍ¸ÏµÊý£»eΪ¿×϶±È£»aΪѹËõϵÊý£»¦ÃwΪˮµÄÈÝÖØ¡£Ê½(1)±íʾ¿×϶ˮѹÁ¦uµÄÏûÉ¢ËÙÂÊÓëÍÁµÄÉøÍ¸ÏµÊýKºÍÍÁµÄѹËõÄ£Á¿Es£½(1+e)/a³ÉÕý±È¡£Ëæ×ÅÕ³ÍÁ²ãµÄÖ𲽹̽ᣬKÖµ¼õС¶øEsÖµÔö´ó£¬µ«Á½Õߵij˻ý£¬¼´§ãvÈ´´óÖ±£³Ö²»±ä¡£¸ù¾ÝÎÊÌâµÄÆðʼÌõ¼þºÍ±ß½çÌõ¼þ£¬¿ÉÒÔÓøµÀïÒ¶¼¶Êý±íÊö¹Ì½á·½³Ì(1)µÄ½âu¡£

½«ÈÎһʱ¿ÌÍÁ²ãÖеÄÓÐЧӦÁ¦Ãæ»ý¶ÔÓÚ×ÜÓ¦Á¦Ãæ»ýÖ®±È£¬Ò༴ÒѾ­Íê³ÉµÄ¹Ì½á±äÐÎSt¶ÔÓڹ̽áÖÕÁËʱµÄ×ܱäÐÎS¡ÞÖ®±È³ÆÎª¹Ì½á¶ÈU¡£¹Ì½á¶ÈUÓëʱ¼äÒòËØTvÖ®¼ä´æÔÚ×ŵ¥Öµ¹ØÏµ£¬ÔÚ¹¤³ÌÉè¼ÆÖÐÓÃÀ´¼ÆËãÍê³ÉÒ»¶¨¹Ì½á¶ÈËùÐèµÄʱ¼ä»òÔÚÖ¸¶¨µÄʱ¼äÒѾ­Íê³ÉµÄ³Á½µÖµSt¡£

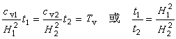
ÔÚ¹Ì½á¼ÆËãÖУ¬ÖØÒªµÄÊÇÈçºÎ²â¶¨¹Ì½áϵÊý§ãv¡£Ëü¾­³£ÓÃÊÒÄڹ̽áÊÔÑé²â¶¨¡£ÓÉÓÚÍÁµÄÓ¦Á¦×´Ì¬ºÍ½á¹¹ÔÚ×ê̽ȡÑù¹ý³ÌÖз¢Éú¸Ä±äºÍÊܵ½ÈŶ¯£¬ËùÒÔ¼ÙʹÓÐÁ½¸öÍÁÖÊÏàͬ(§ãv1£½§ãv2)¡¢µ«ºñ¶È²»µÈ(H2>H1)µÄÍÁ²ã£¬ÔÚ´ïµ½Ïàͬ¹Ì½á¶ÈʱµÄʱ¼äÒòÊý±ØÈ»ÏàµÈ£¬¼´

¹«Ê½ ·ûºÅ¡¡¡¡ (3)

ʽ(3)±íʾÍê³Éͬһ¹Ì½á¶ÈËùÐèµÄʱ¼äÓë×î´óÉø¾¶HµÄƽ·½³ÉÕý±È¡£Òò´Ë£¬¿ÉÒÔ¸ù¾Ý¹Ì½áÊÔÑéµÄ³É¹ûÀ´¹À¼ÆÊµ¼ÊÍÁ²ãÍê³Éͬһ¹Ì½á¶ÈËùÐèµÄʱ¼ä¡£

ÔÚ³Á»ý¹ý³ÌÖУ¬ÓÉÓڽ϶àµÄ¿ÅÁ£³ÊˮƽÏòÅÅÁУ¬²¢¼ä»ò¼ÐÓб¡²ã·Ûɰ£¬ÖÂʹ¿×϶ˮµÄÉø¾¶´ó´ó¼õС¡£ËùÒÔ½¨ÖþÎïµØ»ùµÄʵ¼Ê¹Ì½á¹ý³ÌÒª±ÈÀíÂÛ¼ÆËã½á¹û¿ìһЩ¡£

M.A.±Ï°ÂÓÚ1941ÄêÌá³öÁËÈýά¹Ì½áÀíÂÛ£¬Ò²³Æ±Ï°ÂÀíÂÛ¡£Ëû¿¼ÂÇÁ˸÷ÏòͬÐԵı¥ºÍÍÁµ¥ÔªÌåÔÚÍâÁ¦×÷ÓÃÏÂµÄÆ½ºâÌõ¼þ£¬ÍÁ¹Ç¼ÜµÄÏßÐÔ±äÐκͿ×Ï¶Ë®ÉøÁ÷µÄÁ¬ÐøÐÔÌõ¼þ¡£ÆäÓŵãÊDz»µ«¿ÉÒÔÇó³ö¿×϶ˮѹÁ¦ËæÊ±¼äµÄ±ä»¯£¬¶øÇÒ»¹¿ÉÒÔ¼ÆËãÏàÓ¦µÄÍÁÌå±äÐΡ£ÓÉÓÚËüµÄ¾«È·½âÏ൱¸´ÔÓ£¬Ö»ÓÐÔÚÉÙÊýÇé¿öϲÅÄܵõ½½âÎö½â¡£Ä¿Ç°£¬ÓÉÓÚµç×Ó¼ÆËã»úºÍÓÐÏÞÔª·¨µÄ·¢Õ¹£¬±Ï°ÂÀíÂ۲ŵõ½½Ï¹ã·ºµÄÓ¦Óá£

ÔÚʵ¼Ê¹¤³ÌÖУ¬³£ÔÚÈíÕ³ÍÁÖÐÉèÖÃɰ¾®(¼ûԤѹ·¨)£¬ÒÀ¿¿ÊúÏòºÍ¾¶ÏòÉøÁ÷¼ÓËٵػùÅÅË®¹Ì½á¡£Èç¹ûÇóµÃijһʱ¿ÌÓÉÓÚÊúÏòÉøÁ÷¶øÒýÆðµÄ¹Ì½á¶ÈΪUz£¬¶øÍ¬Ò»Ê±¿ÌÓÉÓÚ·øÉäÏòÉøÁ÷ËùÒýÆðµÄ¹Ì½á¶ÈΪUr£¬ÔòµØ»ùµÄ×ܹ̽á¶ÈU¿ÉÒÔ´ÓÏÂʽÇó³ö£º

1£­U£½(1£­Uz)(1£­Ur)¡¡¡¡¡¡¡¡¡¡(4)

R.A.°ÍÂ×ÓÚ1948ÄêÌá³öÁËÍêÕûµÄɰ¾®Éè¼ÆÀíÂÛ£¬³ÉΪĿǰһÖÖ¼Ó¹ÌÈíÍÁµØ»ùµÄÓÐЧ·½·¨¡£