[拼音]:zhongbo chuanbo
[外文]:medium wave propagation
波长从1000米到100米或频率从 300千赫到3兆赫的无线电波的传播。中波是利用较早的波段之一,主要用于广播、导航和通信等方面。中波传播兼有长波和短波传播的某些特点。它既可以沿地表面绕射传播,也可以通过电离层反射传播。白天,具有高电子碰撞频率的D层强烈吸收中波,使其不能依靠电离层进行反射传播;日落以后,D层消失,E层的电离度下降,高度上升,对中波的吸收急剧减少;夜间,电离层对中波的反射系数很接近于1。因此,白天在较近处可以接收到以地波形式传播的中波,且场强相当稳定。夜间中波以地波和天波的形式传播,天波可以传播到相当远的距离。
中波天波的传播常出现衰落现象。衰落的平均持续时间在数秒到数十秒范围内变动,场强可能变化几十倍。当接收点可同时接收地波和天波时,天、地波合成场强的起伏,是由天波和地波间的相位差随机变化而引起的。在地波场强可与第一反射天波场强相比的区域内,合成场强起伏最大。当接收点位于地波作用范围以外时,衰落是由反射次数不同的天波互相干涉引起的,或者说,是由沿不同路径来到接收点的电波射线干涉引起的。在远离发射源区域内,多径传播(见多径效应)引起的电场强度的起伏对频率的依赖性很小,可以在很宽波段同时观测到几乎相同的场强起伏。
场强计算
白天当距离在1000公里以内时,中波场强与距离的关系可用地波公式和曲线表示(见地波传播)。A.H.舒金给出了夜间中波场强的经典公式。当收、发天线都为垂直偶极子时,经过几次反射的电波场强的垂直分量为
式中W为辐射功率(千瓦);d 为离辐射源的地面距离(公里);En的单位为微伏/米;z0为电离层反射高度(公里)。考虑衰落修正时,计算结果与测量结果是一致的。
卢森堡效应
首先在中波段发现的一种电波传播的非线性效应。1933年,埃因霍温在荷兰接收来自瑞士的电台信号时,常受到卢森堡电台的干扰。这两个电台的频率并不相同,因此这不是串台现象,实质上是卢森堡电台的信号通过电离层非线性效应调制了瑞士电台的信号。这种现象称为交叉调制,或称卢森堡效应。
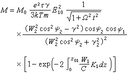
交叉调制的基本原理如图所示。当强干扰波W1经过电离层的强吸收区时,使该区的电子加热,电子温度(动能)随干扰波W1的幅度变化而变化,从而使该区域的介电常数随干扰波W1的调制信号的变化而变化。这时,当另一被测电波W2同时通过该区域时,便受到干扰波W1调制信号的调制。
如干扰波受低频Ω调幅,调制深度为M0,则
E1=E10(1+M0cosΩt)
当干扰波不太强并忽略地磁场时,被测电波的交叉调制深度为
式中e、m 、T、τ、γ 分别为电子的电量、质量、温度、弛豫时间和碰撞频率;k为玻耳兹曼常数;ψ1,ψ2分别为干扰波W1和被测波W2的入射角;K1、E10、M0和z
分别为干扰波的吸收系数,电离层底部场强、调制深度和反射高度。人们还发现利用大功率发射电台的加热作用可以改变电离层的状态,形成电离不均匀体,激发等离子体波动。