[拼音]:dixiashui wuran moshi
[外文]:ground water pollution model
描述可溶性污染物在地下水中迁移状况的数学式,是水体质量模式的一种。这种模式可以用来预测人类活动对地下水质量的影响,还可用来研究流动的地下水中可溶性污染物的运动规律。
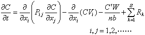
在流动的地下水中某一给定可溶性污染物的二维传递和弥散过程方程如下:
式中C为可溶性污染物的浓度;Pij为弥散系数;b为地下蓄水层的饱和厚度;C′为可溶性污染物在来源和丢失水体中的浓度;Rk为在S个不同化学反应中第k个反应的速度;t为时间;W为单位面积的体积通量,表示如下:
式中α为地下水被抽出(正号)或注入(负号)的速度;Kj为封闭层或河床的垂直水力传导率;m为封闭层或河床的厚度;HS为水源床或河床的水力压头;h为蓄水层的水力压头;Vi为第i方向上的渗漏速度,表示如下:
式中Kij为水力传导张量;n为蓄水层的有效孔隙度。
在地下水污染物的二维传递和弥散模式中,右边的第一项表示由于水力弥散作用易引起污染物浓度的变化,并假定这种变化与浓度梯度成正比;第二项描述对流迁移效应;第三项表示流体的来源和丢失;第四项描述化学反应。