电感测量

电感是反映磁场变化对电路影响的集总电参数。电感测量分为自感测量和互感测量。

在电工、无线电技术中,常用导线绕制成各种形状的线圈以获取较强且集中的磁场。为进一步增强磁场,还在线圈内放置铁磁物质。这种情况下自感总是要伴随着一定的电阻。 低频下的自感和互感的电路模型见图1。

图

图中L代表自感,M代表互感,R代表电阻。当电流通过线圈时产生的磁场与电流成正比时,电感是常数,称做线性电感。当线圈内放置铁磁物质且工作进入饱和区时,自感不是常数,称非线性自感。

自感测量

在测自感时须将自感L与电阻R分开。常用的自感测量方法有3种。

(1)三表法:使用电压表、电流表、功率表进行测量。由三个表的读数UIP 以及电源的角频率ω ,按公式

公式 符号

可得到自感。如电阻R 可忽略时,P=0,只用电压表、电流表的读数即可根据公式 符号得到自感。此法准确度较低,但可用于测非线性自感。

(2)电桥法:利用经典交流电桥和有源电桥测自感。

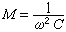
(3)谐振法:将电感与标准可变电容器C串联,调节C使此电路串联谐振于电源角频率ω处,则由公式公式 符号得到自感。

互感测量

常用的方法有两表法和坎贝尔桥路法。

(1)两表法:利用电流表和电压表进行测量(图2a)。

图

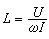
由电压表的读数U、电流表的读数I以及电源角频率ω可按公式公式 符号计算出互感。

(2)坎贝尔桥路法:将互感线圈与一可变标准电容器C 联接成如图2b所示的电路,调节C 使检测仪表D指零时,则由公式公式 符号得到自感。