[拼音]:feizhengxiah zhouqi dianlu
[外文]:non-sinusoidal periodic circuit
电流(或电压)按非正弦律作周期变化的电路。例如,一个线性时不变电路,当所接电源提供的电压具有方波波形或锯齿波波形时,其内部各处的稳态响应(电压或电流)便具有按非正弦律作周期变化的波形。又如,常用的整流电路,尽管其输入是正弦电压,但因其内部含有非线性元件──半导体整流器,使得其输出却是波形如图1(半波整流)或图2(全波整流)所示的非正弦电压。
按非正弦律作周期变化的电流和电压称为非正弦周期电流和电压,可用周期函数f(t)来表示。
非正弦周期电流(或电压)的分解一个周期函数若能满足狄里赫利条件,便可展成一个无穷的三角级数,即
(1)
此级数称为傅里叶级数。级数中的各项系数称为傅里叶系数,它们分别由下式决定,即
(2)
(3)
(4)
通常,电工领域中涉及到的非正弦周期电流、电压等电路变量,多数能够满足狄里赫利条件,可以分解成傅里叶级数。
式(1)又可写成
(5)
式中
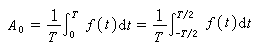
上式是f(t)的另一种表达式。式中第一项A0称为f(t)的恒定分量(又称直流分量),第二项A1sin(ωt+φ1)称为f(t)的基波分量,其余各项统称为谐波分量,而且按K=2,3…,分为二次谐波、三次谐波、……。基波分量与原函数f(t)有相同的周期(或频率),其他谐波的周期则是原函数周期的整数倍,基中凡倍数为奇数者统称为奇次谐波,为偶数者统称为偶次谐波。非正弦周期电压和电流所含等于和大于二次的谐波分量,分别称为谐波电压和谐波电流。在电力系统中为保证电能质量需对这些谐波加以抑制(见高次谐波抑制)。
傅里叶级数取无穷多项才能准确代表原函数。但在要求不很高,而级数收敛又较快的情况下,可以把五次以上谐波略去不计。几种常见的非正弦波的傅里叶级数列于表中。从这些级数中可以看出,近于正弦波的三角波的级数收敛最快。
有效值和平均值非正弦周期量f(t)的有效值定义为
据此,可求得非正弦周期电流的有效值为
(6)
非正弦周期电压V的有效值为
(7)
式中I1、I2…和V1、V2…分别为周期电流、电压的各次谐波的有效值。
非正弦周期电流i 的平均值定义为其绝对值的平均值,即
(8)
同理,有
(9)
平均值与恒定分量是有区别的。一个非正弦周期电流(或电压)的平均值永不为零,而其恒定分量都可能为零。
非正弦周期电路的稳态分析在非正弦周期电压或电流(即激励)作用下,线性时不变电路的稳态响应可按下列步骤进行计算。
(1)将给定的非正弦周期电压或电流分解成傅里叶级数。级数究竟取几项视要求计算的精度而定,项数确定后,再按式(1)、(2)和(3)算出各个有关傅里叶系数。
(2)按顺序计算级数中各分量单独作用于电路时所引起的稳态响应。在计算直流分量引起的响应时,应将原电路中的电感器视为短路,电容器视为开路,在计算各次谐波引起的响应时应使用相量法,而且要注意到电感器的感抗XL(XL=KωL)和电容器的容抗
皆与谐波的次数K有关,即它们的数值随谐波的次数不同而不同。
(3)将第二步中求得的对应于各次谐波的稳态响应相量转换成正弦量,再将这些正弦量与对应于直流分量的响应(是与时间t 无关的常数)叠加,便得出所欲求的稳态响应。
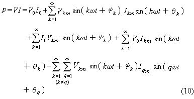
非正弦周期电路的功率
若二端网络 (图3)的端口电压为
端口电流为
则电路的瞬时功率为
非周期电路的平均功率(即有功功率)为其瞬时功率之平均值,即
无功功率定义为
(12)
视在功率定义为
(13)
对于非正弦周期电路,3种功率S、P、Q的关系为
(14)
这一点与正弦交流电路不同。视在功率之平方减去有功功率与无功功率之平方和,所得之差值再开方即为畸变功率T,
(15)
畸变功率的出现意味着电路内的电流、电压波形已经是偏离正弦波形的非正弦波形。
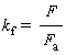
波形因数周期信号(包括电流、电压等电路变量)f(t)的有效值F与绝对平均值Fа之比,以Kf表示:
(16)
按式(16)可算出方波信号、正弦信号和三角波信号的波形因数分别为1、1.11、1.15。 波形平而宽者其波形因数小,波形尖而窄者其波形因数大。
畸变因数用以度量周期信号波形与正弦波的差别的量。以Kd表示。它等于其基波的有效值F1与有效值之比,即
由于非正弦周期信号除基波外有多项高次谐波,F1<F,故恒有Kd<1。三角波信号的畸变因数Kd=0.993,矩形波信号的Kd=0.9。Kd越小表示其波形与正弦波形的差别越大。