扩散渗析

利用半透膜或选择透过性离子交换膜使溶液中的溶质由高浓度一侧通过膜向低浓度一侧迁移的过程。这种过程是以浓度差为动力,所以也称为浓差渗析或自然渗析。它主要用于有机和无机电解质的分离和纯化。在环境工程方面目前主要用于酸、碱废液的处理和回收。

19世纪50年代初,英国化学家T.格雷厄姆开始系统地研究溶液的扩散作用,随后又研究了不同溶质通过半透膜(羊皮纸或棉胶等制成的薄膜)的特性,发现一些溶质的分子或离子能通过半透膜的细孔,而较大的胶体粒子不能通过的现象。格雷厄姆称此现象为渗析。根据这个原理制成的设备称为渗析器,常用于胶体溶液的浓缩以及核酸、蛋白质等高分子化合物的提纯。20世纪50年代出现了以离子交换膜作为隔膜的扩散渗析器。离子交换膜扩散渗析器由离子交换膜、隔板和夹紧装置组成。离子交换膜是渗析器的关键部件,可根据不同用途选用不同的型号。隔板是膜的支撑体和水流通道,隔板材料有氯乙烯、聚乙烯、聚丙烯塑料和橡胶等。夹紧装置常采用铁板、螺栓或液压部件,把膜和隔板组成一个整体。采用阳离子交换膜,其固定基团带负电荷,只允许阳离子透过,而阻挡阴离子;采用阴离子交换膜则相反。虽然阳离子交换膜有阻止阴离子通过的选择性,但是氢氧离子(OH-)却能通过;而氢离子(H+)同样也能通过阴离子交换膜。酸根离子和H+ 分别通过阴离子交换膜后结合为酸;金属离子和OH-分别通过阳离子交换膜后结合为碱。利用离子交换膜的这种选择透过作用,可以分离有机胶质、无机电解质,回收酸和碱。

原理

扩散渗析是依靠膜两侧溶液的浓度差进行溶质扩散的。根据斐克扩散定律,通过膜面积为S(厘米3)的物质与膜的两侧溶液的浓度C1C2(摩尔/厘米2)有下述关系:

ΔQ=KS(C1-C2)=K·S·ΔC式中ΔQ为单位时间内通过膜的物质数量(摩尔/秒);ΔC为膜两侧溶液的浓度差(摩尔/厘米3);K为扩散系数,其值与膜本身以及膜界面现象有关,根据膜及装置实际测定。

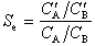
如果A、B两种物质在原液中的浓度为CACB;在扩散液中的浓度为C┭、C勴;则分离系数Se为:

如果Se=1,说明只有扩散,没有分离;Se值越大,表示分离越完全。

扩散渗析的效果主要与下列因素有关:膜的物理化学性质,原液的成分、浓度,操作条件(温度、流速等),隔板型式等。

应用

扩散渗析具有设备简单、投资少、基本不耗电等优点,可应用于:

(1)从冶金工业的金属处理废液中回收硫酸(H2SO4)或盐酸(HCI);

(2)从浓硫酸法木材糖化液中回收硫酸;

(3)从粘胶纤维工业的碎木浆料处理液中回收氢氧化钠(NaOH);

(4)从离子交换树脂装置的再生废液中回收酸、碱等。目前在工业上应用较多的是钢铁酸洗废液的回收处理。钢铁酸洗废液一般含10%左右的硫酸和12~22%的硫酸亚铁(FeSO4)。采用阴离子交换膜扩散渗析器分离硫酸和硫酸亚铁的原理如图。

图

原液和水逆向通入膜的两侧,由于浓度差和膜的选择透过作用,原液中的硫酸进入膜一侧的隔室,而硫酸亚铁仍留在原液隔室内,渗析的结果使膜的一侧隔室内为主要含有硫酸的扩散液,另一侧隔室内则为主要含有硫酸亚铁的残液,这样就达到了从硫酸和硫酸亚铁的混合液中回收硫酸的目的。硫酸的回收率可达 70%以上,在回收的硫酸中还含有10%左右的硫酸亚铁。由此可见,扩散渗析不能达到完全的分离回收。为弥补这一缺陷,国外有采用扩散渗析法与隔膜电解法相组合的工艺系统,以回收硫酸和铁。

参考书目
  1. 小坂勇次郎,清水博:《ィォン交換膜》,共立出版株式会社,東京,1963。
  2. 李基森等编译:《离子交换膜及其应用》,科学出版社,北京,1977。