[拼音]:yejin guocheng donglixue
[外文]:kinetics of process metallurgy
用化学动力学原理及宏观动力学方法研究从矿石提取金属及其化合物的各种冶金过程的一门学科。它和冶金过程热力学一样,是冶金过程物理化学的一个分支。冶金过程动力学研究冶金过程(包括冶金反应及物理过程)的速度及其机理,是提高冶金过程的冶炼强度、缩短冶炼时间、提高冶金产品质量、促进冶金工业自动化、探讨和开发冶金新技术及新流程的重要手段。
微观动力学和宏观动力学
冶金过程通常是在高温、有多相存在和有流体流动下的物理化学过程。反应速度除了受温度、压力和化学组成及结构等因素的影响外,还受反应器(如冶金炉等)的形状和物料的流动状况以及热源等因素的影响。当反应的条件发生变化时,反应进行的途径(步骤)即反应机理也要发生变化。从分子理论微观地研究反应速度和机理称为微观动力学。一般情况,物理化学中的化学动力学属于微观动力学的范畴;结合反应装置在有流体流动、传质及传热条件下宏观地研究反应速度和机理称为宏观动力学。冶金过程动力学即属于宏观动力学的范畴。
反应的控制步骤
为使某一反应进行,必须将参与反应的物质传送到反应进行的地点(界面),在那里发生反应,并使反应产物尽快排除。其中速度最慢的步骤限制着整个反应的速度,这个最慢的步骤称为控制步骤或限制环节。研究反应速度的目的就是要弄清在各种条件下反应进行的各种步骤,也即反应的机理,找出它的限制环节,并导出在给定条件下反应进行的速度方程式,以便用来控制和改进实际操作。
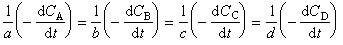
反应速度通常以单位时间物质i的浓度 Ci(对非理想溶液采用活度ai)的变化来表示,即反应速度表示为
。对反应物,反应速度vi是负值;对产物则vi为正值。以不可逆反应aA+bB─→cC+dD
为例,如果体系的总体积不变,则反应物减少量和产物生成量与方程式中计量比a、b、c、d 的关系为-dCΑ∶-dCB∶dCC∶dCD =a∶b∶c∶d
用反应物(A或B)或产物(C或D)的浓度表示的反应速度的相互关系为
根据质量作用定律
k为反应速度常数(或比反应速度),指数 (m+n)值为反应级数。反应级数与方程式的计量比一致时(即m=a,n=b),该反应称为基元反应(elementary reaction),服从质量作用定律。但许多反应不是一步完成,或有许多副反应,因而反应级数不与方程式的计量比一致,即m +n厵a+b,而其值也不一定是整数,应由实验测得。
氧气顶吹转炉炼钢的脱碳反应,由钢液中的反应方程式[C]+[O]─→CO来看,似应为二级反应,但实验表明,此反应相当复杂,其反应级数随冶炼阶段而变化(表1)。由于炼钢过程的重要反应大部分在钢液-熔渣界面上进行,单纯研究均相反应的级数,其实际意义不大。
传递现象与边界层
①传质。任何流体(气体或液体)由于分子运动,其内部的浓度是均匀的。但当流体与另一液体或固体接触时,根据边界层理论,它的分子向相界面扩散受到阻力,界面上物质的浓度C i和流体内部的浓度C∞有较大差异。浓度随距离x的变化情况见图1。有浓度变化的这一层称为浓度边界层,其厚度为δσ,在此产生物质传递(简称传质)的阻力。
设
代表传质速度, 即单位时间传递的物质的摩尔数(摩尔/秒);J代表传质通量,即单位时间内通过垂直于传质方向 (沿x)的单位面积上的物质的摩尔数[摩尔/(米2·秒)];A代表面积,显然
。根据斐克(Fick)第一定律:
式中D为物质的扩散系数(米2/秒),
为物质沿x方向的浓度梯度(物质是沿与x相反的方向向相界面传递)。图1中δσ是浓度边界层的厚度(米或厘米),但有效浓度边界层δ N的定义为
可以证明
令
则 J=-β(C∞-Ci)β
为传质系数(米/秒或厘米/秒),1/β为物质在相界附近的传质阻力。以上各式均按稳态,即浓度梯度不随时间变化的情况下分析的。对非稳态则采用斐克第二定律在已知的边界条件下求解。
(2)动量传递。当流体沿固体平行流动,或两个密度悬殊的液体相互流动,在相界面产生摩擦,形成速度边界层δpr,而在相界面上的流体速度为零。研究动量传递则采用类似的牛顿粘滞定律。
(3)传热。当流动的流体接触固体时,发生对流传热,流体内部的温度不同于相界面的温度,在固体表面附近形成一温度边界层δ T。 研究传热则采用类似的傅立叶(Fourier)定律。
三传现象(传质、动量传递及传热)对研究冶金过程动力学非常重要。例如在炼铁高炉中,焦炭在风口燃烧产生大量的高温气体,后者沿炉身上升,而加入的炉料则自炉顶下降,在高温区铁滴及熔渣滴穿过焦炭流入炉缸。高炉中充满了气、固、液流动体,在它们的相互流动中发生热交换及物质交换。所以研究高炉反应动力学必须研究三传的作用。又如为提高钢质量的喷射冶金,用氩气将固体粉料喷入钢液中,形成气泡、固体颗粒及液体的流动体,这里动量传递起重要作用。对连续铸锭,用电磁搅拌研究凝固速度与钢液流动的相互关系,从而改进钢坯的表面质量,这里传热起重要作用。
多相反应模型
双膜理论为了研究反应机理和控制步骤有必要设计冶金过程的模型。熔渣和金属液的反应常用双膜理论模型来处理(图2)。图内Ⅰ、Ⅱ分别代表熔渣和金属液两个相,CⅠ、CⅡ为某组分在Ⅰ、Ⅱ两相内部的浓度,C 媽、C嫇为相界面处的浓度,x为距相界面的距离。从Ⅰ相内部向相界面的传质通量JⅠ,即单位面积的传质速度为
βⅠ为Ⅰ相的传质系数。
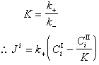
设在相界面发生的化学反应(或分配过程)为一级反应,则在单位面积的相界面发生的反应速度为
k+、k-分别代表正、逆反应的速度常数,由于平衡常数
自相界面向Ⅱ相内部的传质通量JⅡ为
βⅡ为Ⅱ相的传质系数,反应达到稳态时,
三式相加,得
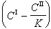
上式中
是总反应的推动力,
是Ⅰ相的传质阻力,
是界面反应的阻力,
是Ⅱ相的传质阻力。这三个阻力之和就是总反应的阻力。通常,界面反应很迅速,k+很大,则
很小,可以忽略不计。传质速度决定于某一相边界层的扩散阻力或双方边界层的扩散阻力。
对于钢液-熔渣反应,例如:钢液中的Mn与溶渣中的FeO(Fe2+)反应:[Mn]+(FeO)─→(MnO)+[Fe]
或 [Mn]+(Fe2+)─→(Mn2+)+[Fe]
其进行步骤为:
(1)钢液中Mn原子向钢渣界面扩散移动;
(2)渣中Fe2+离子向钢渣界面扩散移动;
(3)在钢渣界面上完成化学反应;
(4)生成的Mn2+离子从界面向渣内部扩散移动;
(5)生成的Fe原子从界面向钢液内部扩散移动。
步骤③是化学反应,在高温下反应速度很快,不可能是控制步骤。曾根据渣中含Mn2+5%、Fe2+20%,钢液中含Mn0.2%,温度为1600℃进行过计算(表2)。可以看出④的速度最慢,是控制步骤,它控制着[Mn]氧化入渣的整个反应。根据现有的研究成果,在炼钢杂质去除过程中,硅、磷在钢液中的扩散是控制步骤,而锰、硫在渣中的扩散是控制步骤。但当渣中含有大量不溶解的磷酸钙或氧化钙时,PO婯 离子在渣中的扩散则成为磷的氧化反应的控制步骤。提高温度降低熔体粘度或采用搅拌(机械或气体搅拌)均可提高传质速度。
未反应核模型
常用来研究气-固反应总反应速度的模型(图3)。以铁矿石还原为例:Fe3O4+4CO─→3Fe+4CO2
设球形试样(如球团矿)还原时,反应区域是由表面等速向中心推进的;反应前后,球团的体积没有变化;固态产物是多孔的;还原气体可以通过产物层扩散(内扩散)到反应区域。当界面的化学反应按一级反应处理时,还原总反应速度为
式中凜为总反应速度(摩尔/秒);r0为球团的半径(米或厘米);r为未反应核的半径(米或厘米);C0为气体内部还原气体的浓度(摩尔/米3);C*为同气体产物相平衡的还原气体的浓度(摩尔/米3);βg为气体边界层的传质系数(米/秒或厘米/秒);K为反应的平衡常数;k为反应前进方向的速度常数(米/秒或厘米/秒);D有效为有效扩散系数(米2/秒或厘米2/秒),可按D有效=Dεξ求得,其中D为还原气体在自由空间的扩散系数,ε是产物层的气孔率,ξ是迷宫度系数;因为产物层中的气孔不是直通的,而是象迷宫一样错综分布,还原气体在产物层中的扩散途径要比直线距离长得多,所以用ξ加以修正。
总反应速度公式右边分母第一项代表气体边界层的传质阻力,第二项代表还原气体通过固体多孔产物层的内扩散阻力,第三项代表界面化学反应的阻力。这些阻力的相对作用大小随着矿石的种类、性质和反应条件而变化。
未反应核的半径r是无法直接测得的,在应用该式时常用反应的转化率或还原度f 来代替:
代入上列总反应式中,得
式中d 0是矿石中需要还原去除的氧浓度(摩尔/米3)。利用此式可以求出欲达到某个还原度所需的时间。
冶金过程中的铁矿石还原,石灰石焙解等都是适用未反应核模型的气固相反应。但由于矿石颗粒本身也有孔隙度,化学反应可能在颗粒内部任何地区进行,不一定有一明确的反应区域;而且因为这些反应经常是吸热的,需要外来热源,伴有传热现象;所以全面地分析尚需要更复杂的反应模型。
冶金过程动力学的发展概况
从分子理论研究反应速度的化学动力学自1850年开始,已有百余年的历史。应用于冶金过程的宏观动力学自20世纪40年代末期开始发展。随着氧气顶吹转炉炼钢、连续铸锭、闪速熔炼和喷射冶金等新技术的发展,冶金过程动力学已成为70年代以来颇为活跃的边缘学科。除了用动力学理论及实验方法研究冶金过程的反应速度和机理外,冶金过程动力学的另一个发展趋势是向冶金反应工程学发展。
- 参考书目
- H.Y. Sohn & M. E.Wadsworth,Rate Processes of Extractive Metallurgy,Plenum,New York,1979.
- J.Szekely & N.J. Themlis, Rate Phenomenɑ in Process Metallurgy,Wiley-Interscience,New York,1971.
- 黄希祜主编:《钢铁冶金原理》,第五章:冶金反应过程动力学,冶金工业出版社,北京,1980。
- 川合保治(日)著,徐同晏、戴嘉惠译:《钢铁冶金反应动力学》,冶金工业出版社,北京,1982。(川合保治:《鉄冶金反応速度論》,日刊工業新聞社,東京,1973。)