[拼音]:qiche xingche sudu
[外文]:running speed of automobile
汽车在单位时间内驶过的距离,简称车速。常用单位是公里/小时或米/秒。汽车行车速度是描述交通流的三个参数之一,在交通流理论的研究中占有重要地位。汽车行车速度也可泛指机动车行车速度。为适应不同用途,汽车行车速度主要有地点车速、路段车速和设计车速之分。
地点车速汽车通过道路某指定地点的瞬时速度。一组地点车速观测值的算术平均数为平均地点车速。地点车速广泛应用于交通工程中,是制订道路设计车速,设置交通控制设施,确定交通管理方法,采取交通改善措施及其经济分析,探索各型汽车速度发展趋势,评定道路交通设施、交通管理及改善措施等的交通效果的依据。
地点车速除用平均值表示外,又因其观测值在平均值上下分散甚宽,还常用其频率分布特征进行分析。用测得车速的分组的中间值作横坐标,分组车速出现的频率作纵坐标画成的曲线,叫车速频率分布曲线(图1);把出现频率按车速分组逐组相加所得各级频率之和(即不大于某一车速的累计频率)为纵坐标画成的曲线,叫车速累积频率分布曲线(图2)。轿车在缓坡路段上自由行驶时的车速观测值的频率分布曲线一般近似于对称形的正态分布曲线;累积频率分布曲线近似于 S形曲线。频率分布曲线顶点的车速,即观测值中频率最高的车速,称为最多车速。累积频率分布曲线上,相应于纵坐标为i%时的车速,即全数中i%的汽车不致超过的车速,称为第i百分位车速。累积频率分布曲线的斜率,一般在第85%位及第15%位附近而突变,表示超过第85%位和小于第15%位车速的汽车比例甚小,所以,一般常以第85%位车速作为制订设计车速的参考和确定最高限制车速的依据,而用第15%位车速作为确定高速道路最低限制车速的依据。
路段车速
随行车时间的取法不同,有行驶车速和行程车速之分。行驶车速是车辆行驶路程除以行驶时间(不包括停车时间)之商。行驶车速可表示某路段的行驶难易程度,是分析道路通行能力的依据。沿途交通量稀少,司机能以期望速率驾车时的车速,称为自由行驶车速。行程车速是车辆行驶路程除以行程时间(包括停车时间)之商,也称全行程车速。所有车辆或其中某类车辆所行经的距离之和除以它们各全行程时间之和所得的商,称为平均全行程车速。行程车速是衡量路线通畅程度及分析路上发生延迟原因的依据。行程车速还常用以确定城市道路所能提供的服务等级。其中,在良好气候及通常道路交通状态的条件下,驾驶员能顺利、安全地驾驶的最高行程车速,称为运行车速,常作为确定连续行驶道路(通常指公路或高速道路)服务等级的依据。
按取平均值的方法区分,可有两种平均车速:
(1)指定某地点,在一段时间内,取分布于不同时刻各车车速观测值的平均值,称为时间平均车速;
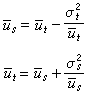
(2)指定某时刻,在一段路程内,取分布于不同地点各车车速的平均值,称为区间平均车速。时间平均车速ūt就是平均地点车速,它是车流理论中分析车流模型的一个重要参数。区间平均车速ūs同交通密度K、交通量Q之间的关系,即
Q=K ūs构成车流理论的基础。区间平均车速和时间平均车速可按下式计算:
式中σ婈、σ婅分别是时间平均车速与区间平均车速的方差。
设计车速为确定道路各几何要素的设计指标并使之相互协调而制定的车速。有些道路几何要素,如弯道半径、超高、视距、纵坡等,直接决定于设计车速;另外一些要素,如道路各部分的宽度以及同侧向障碍物之间的净距等,虽不直接决定于设计车速,但它们会影响车辆实际行驶的车速,在设计车速较高的道路上,对这些要素要求采用较高的标准。因此,几乎是所有的道路几何要素都同设计车速有关。设计车速是确定道路各类几何要素的基本车速,确定道路设计车速是道路设计中的重要决策问题之一。
除地点车速、路段车速和设计车速外,具有实际意义的车速还有最佳车速和经济车速。最佳车速是道路某断面上交通量最大时的车速,供理论上分析道路通行能力时用。经济车速是车辆在行驶中消耗燃料最省时的车速,是研究合理消耗交通能源的重要依据之一。
- 参考书目
- 索尔特著,张佐周等译:《道路交通分析与设计》,中国建筑工业出版社,北京,1982。