离散傅里叶变换

对于时间连续信号,可利用傅里叶变换获得其频谱函数;或由其频谱函数通过反变换得到原时间函数。用公式表示为

公式 符号

公式 符号     (1)

式中

公式 符号

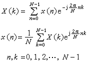
在离散信号处理中,应将傅里叶变换的积分形式改变为离散傅里叶变换的求和形式,把连续傅里叶变换的积分区间化成离散傅里叶变换的求和区间。对时域的有限区间0~tL内的信号x(t)按等时间间隔T 抽样,得到N=tL/T个抽样值x(nT),n=0,1,2,…,N-1。在频域的有限带宽0~fs内的频谱函数x(jω)按等频域间隔墹f=1/tL抽样,即墹f=1/NT=fs/N,得到N个频率抽样值X(jkf),k=0,1,2,…,N-1。将x(nT)记作x(n),称为时间序列;并将Xjkf)记作Xk),称为频谱序列。又知公式 符号,把这些关系代入傅里叶变换式(1),将其离散化,并考虑到时域和频域上均为有限,即得到离散傅里叶变换对公式

公式 符号     (2)

由上式可知,当给定时域信号序列x(n)的长度为N时,计算频域上的一个抽样值X(k),就需要进行N次复数乘法运算和N-1次复数加法运算;要得到X(k)的N个抽样值,就需要进行N2次复数乘法运算和N(N-1)次复数加法运算。

基本特点

从物理意义上看,非周期时间信号的频谱是连续的和非周期的。时间信号抽样之后成为离散时间信号,它的频谱就变为周期性的连续谱。对频谱函数进行抽样,则对应的时间函数就变为周期性的连续信号。同时对时间信号和相应的频谱函数进行抽样,则得到离散的和周期的时间信号函数和频谱函数,这样就构成了上述离散傅里叶变换对。

离散傅里叶变换除有周期性之外,还具有一般线性变换的性质。

(1)线性:若组合信号为几个时域信号之和,其离散傅里叶变换等于各个信号的离散傅里叶变换之和。

(2)选择性:离散傅里叶变换的算法可以等效为一个线性系统的作用。式(2)中的频域变换值X(k)代表不同频率的谱线输出,这意味着离散傅里叶变换算法对频率具有选择性。

(3)循环移位性:有限长度的序列x(n)可以扩展为周期序列慜(n),而x(n)可以看作是周期序列中主值区间内的主值序列,它的各个抽样序列好像放在一个N等分的圆周上,序列的移位就相当于它在圆周上旋转,由此可依次重复地看到周期序列慜(n)。这种序列的移位称为循环移位,或圆周移位。这种性质对计算循环褶积和循环相关很有用。

(4)其他:如序列的离散傅里叶变换对称性和循环褶积性(即圆周褶积性)等。

作用

离散傅里叶变换有与傅里叶变换相类似的作用和性质,在离散信号分析和数字系统综合中占有极其重要的地位。它不仅建立了离散时域与离散频域之间的联系,而且由于它存在周期性,还兼有连续时域中傅里叶级数的作用,与离散傅里叶级数有着密切联系。在计算速度方面,已研究出各种快速计算的算法,使离散傅里叶变换的应用更为普遍,在实现各种数字信号处理系统中起着核心的作用。例如,通过计算信号序列的离散傅里叶变换可以直接分析它的数字频谱;在有限冲激响应数字滤波器的设计中,要从冲激响应h(n)求频率抽样值H(k),以及进行它们之间的反运算等。

参考书目
  1. 何振亚:《数字信号处理的理论与应用》上册,人民邮电出版社,北京,1983。
  2. A.V. Oppenheim, R. W. Schafer, Digital Signal Processing,Prentice Hall, Englewood Cliffs, New Jersey,1975.