[拼音]:yingli zhuangtai he yingbiazhuangtai
[外文]:stress state and strain state
构件在受力时将同时产生应力与应变。构件内的应力不仅与点的位置有关,而且与截面的方位有关,应力状态理论是研究指定点处的方位不同截面上的应力之间的关系。应变状态理论则研究指定点处的不同方向的应变之间的关系。应力状态理论是强度计算的基础,而应变状态理论是实验分析的基础。
应力状态如果已经确定了一点的三个相互垂直面上的应力,则该点处的应力状态即完全确定。因此在表达一点处的应力状态时,为方便起见,常将“点”视为边长为无穷小的正六面体,即所谓单元体,并且认为其各面上的应力均匀分布,平行面上的应力相等。单元体在最复杂的应力状态下的一般表达式如图1,诸面上共有9个应力分量。可以证明,无论一点处的应力状态如何复杂,最终都可用剪应力为零的三对相互垂直面上的正应力,即主应力表示。当三个正应力均不为零时,称该点处于三向应力状态。若只有两对面上的主应力不等于零,则称为二向应力状态或平面应力状态。若只有一对面上的主应力不为零,则称为单向应力状态。
应力圆
是分析应力状态的图解法。在已知一点处相互垂直的待定截面上应力的情况下,通过应力圆可求得该点处其他截面上的应力。应力圆也称莫尔圆。图2b即为图2a所示平面应力状态下表示垂直于xx平面的面上之应力与x、x截面上已知应力间关系的应力圆。利用它可求得:
(1)任意 α面上的应力;
(2)“最大”和“最小”正应力;
(3)“最大”和“最小”剪应力。由应力圆上代表“最大”和“最小”正应力的A、B点可知,这些正应力所在截面上的剪应力为零,因而“最大”和“最小”正应力也就是该点处的主应力。
应变圆
也称应变莫尔圆,是分析应变状态的图解法,其原理与应力圆类似,但应变圆的纵坐标为负剪应变的一半,横坐标为线应变 ε。在已知一点处的线应变εx、εy与剪应变γxy时,即可作出应变圆,从而求得该点处主应变 ε1与ε2的大小及其方向。在实验分析的测试中常用各种形状的应变花测量(见材料力学实验)一点处三个方向的应变,例如用“直角”应变花可测得一点处的线应变ε0°、ε45°、ε90°。根据一点处三个方向的线应变也可利用应变圆求得该点处的主应变ε1与ε2。
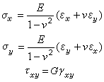
广义胡克定律当按材料在线弹性范围内工作时,一点处的应力状态与应变状态之间的关系由广义胡克定律表达。对于各向同性材料,弹性模量E、剪切弹性模量G、泊松比v均与方向无关,且线应变只与正应力σ有关,剪应变只与剪应力τ有关。三向应力状态下,各向同性材料的广义胡克定律为
τxy=Gγxy
τyz=Gγyz
τzx=Gγzx
平面应力状态(σz=0, τyz=0, γzx=0)下的广义胡克定律应用最为普遍
单向应力状态下的胡克定律则为σ=Eε。