电动机机械特性

表征电动机轴上所产生的转矩M和相应的运行转速п之间关系的特性。以函数п=f(M)表示。它是表征电动机工作的重要特性。

电动机带动负载的目的是向工作机械提供一定的转矩,并使其能以一定的转速运转。转矩和转速是生产机械对电动机提出的两项基本要求,研究电动机机械特性对满足生产机械工艺要求,充分使用电动机功率和合理地设计电力拖动的控制和调速系统有着重要的意义。根据所用电流的制式不同分为直流电动机机械特性和交流电动机机械特性。

直流电动机机械特性

直流电动机有他励、串励和复励3种, 其机械特性方程式可用下式表示:

公式 符号

式中п为电动机转速(转/分);U为电动机电枢电压(伏);KE为电动机的电动势常数,其值决定于电动机结构;KM为电动机的转矩常数,其值决定于电动机结构;φ为电动机的磁通量(韦伯);Rc为电动机电枢绕组的电阻(欧);Rs为电动机电枢回路中外串电阻(欧)M为电动机的电磁转矩(牛米),其值正比于电动机的电枢电流和磁通,即MKMφIcIc为电动机电枢回路电流(安);п0为电动机理想空载转速(转/分);Δп为电动机在负载M下的转速降(转/分)。

直流他励电动机的磁通是独立的,与电枢电流无关。直流串励和复励电动机的磁通与电枢电流有关。图 1

图

为 3种电动机的电路接线和机械特性曲线。图中 E为电动机在运转时电枢绕组中感生的反电动势,它正比于电动机转速和磁通量,即

EKEφn

图中3条特性曲线表明,在负载转矩变化时,其转速降Δп不同。通常称Δп小的他励电动机的机械特性比另两种电动机的机械特性“硬”,反之则为“软”。生产中常根据被拖动机械的要求来选用硬特性或软特性的电动机。例如金属切削机床要求拖动电动机具有硬的机械特性,起重机械则要求具有软的机械特性。

同一电动机为了满足生产机械起动、制动和调速等不同的工艺同求,可以调节其参数改变其机械特性。电动机在额定电枢电压、励磁电流和电枢电流情况下,无外串电阻时的机械特性称为固有机械特性。用改变电动机回路参数的方法所获得的特性称为人为机械特性。以他励电动机为例,可以通过改变其电枢外串电阻,改变电枢电压和减弱磁通3 种方法获得不同的人为机械特性(见直流电力拖动调速技术)。

交流电动机机械特性

三相交流异步电动机的机械特性在工程上以下式进行分析和计算:

公式 符号

公式 符号

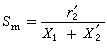
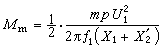
其中临界转矩

公式 符号

临界转差率

公式 符号

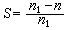
转差率

公式 符号

式中m为电动机相数,一般m=3;U1为电动机定子相电压(伏);f1称为电动机定子电源频率(赫);p为电动机磁极对数;X1为电动机定子绕组漏抗(欧);r娦、X娦为折算到定子侧的电动机转子绕组电阻和漏抗(欧);n1为电动机同步转速,公式 符号

在额定定子电压U1e和额定频率f1e下,定子和转子电路均无外串阻抗时的机械特性为交流异步电动机的固有机械特性。它可用Mf(S)或п=f(M)两种坐标系中的曲线表示(图2)。 工程上可稳定运行的特性段为O~Sm段,属硬特性。

图

交流异步电动机的人为机械特性可通过改变定子电压、磁极对数、定子电路中串阻抗、转子电路中串电阻和改变电源频率等方式获得(见交流电力拖动调速技术)。