红外探测器

将入射的红外辐射信号转变成电信号输出的器件。红外辐射是波长介于可见光与微波之间的电磁波,人眼察觉不到。要察觉这种辐射的存在并测量其强弱,必须把它转变成可以察觉和测量的其他物理量。一般说来,红外辐射照射物体所引起的任何效应,只要效果可以测量而且足够灵敏,均可用来度量红外辐射的强弱。现代红外探测器所利用的主要是红外热效应和光电效应。这些效应的输出大都是电量,或者可用适当的方法转变成电量。一个红外探测器至少有一个对红外辐射产生敏感效应的物体,称为响应元。此外,还包括响应元的支架、密封外壳和透红外辐射的窗口。有时还包括致冷部件、光学部件和电子部件等。

简史

1800年,F.W.赫歇耳在太阳光谱中发现了红外辐射的存在。当时,他使用的是水银温度计,即最原始的热敏型红外探测器。1830年,L.诺比利利用当时新发现的温差电效应(也称塞贝克效应),制成了一种以半金属铋和锑为温差电偶的热敏型探测器。称作温差电型红外探测器(也称真空温差电偶)。其后,又从单个温差电偶发展成多个电偶串联的温差电堆。1880年,S.P.兰利利用金属细丝的电阻随温度变化的特性制成另一种热敏型红外探测器,称为测辐射热计。1947年,M.J.E.高莱发明一种利用气体热膨胀制成的气动型红外探测器(又称高莱管)。在40年代,又用半导体材料制作温差电型红外探测器和测辐射热计,使这两种探测器的性能比原来使用半金属或金属时得到很大的改进。半导体的测辐射热计又称热敏电阻型红外探测器。

60年代中期,出现了热释电型探测器。它也是一种热敏型探测器,但其工作原理与前三种热敏型红外探测器有根本的区别。最早的光电型红外探测器是利用光电子发射效应即外光电效应制成的。以 Cs-O-Ag为阴极材料的光电管(1943年出现)可以探测到 1.3微米。外光电效应的响应波长难以延伸,因此,它的发展主要是近红外成像器件,如变像管。

利用半导体的内光电效应制成的红外探测器,对红外技术的发展起了重要的作用。内光电效应分光电导和光生伏打两种效应。利用这些效应制成的探测器分别称为光导型红外探测器和光伏型红外探测器(见光子型探测器)。

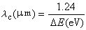
在半导体中引起电导改变或产生电动势是一个激活过程,需要有一定的能量墹E。因此,入射辐射的光子能量必须大于墹E。也就是光电型探测器有一个最长的响应波长,称为长波限λ公式 符号,即

公式 符号   (1)

1917年,T.W.卡斯发明Tl2S光电型红外探测器,但长波限仅到1.1微米。30年代末期,德国人研究PbS光导型探测器,室温工作时长波限为3微米,液氮温度时可到5微米。第二次世界大战之后,相继研制成PbTe和PbSe光电型探测器,响应波长延伸到7微米。50年代起,由于半导体物理学的发展,光电型探测器所能探测的波长不断延伸。对于有重要技术用途的 1~13微米波段和限于实验室应用的13~1000微米波段,都有适当的光电型探测器可供使用。60年代起,又研究成Hg1-xCdxTe三元半导体红外探测器,配制不同组分x的材料,可以制得不同响应波长的红外探测器。

整流型红外探测器也是60年代开始问世的。由于激光的出现,就有可能利用外差技术进行接收。因此,把微波波段用的结型检波器推广应用到更高的频率范围,即短毫米波和亚毫米波。

分类

按所利用的效应,红外探测器可分成三大类。

热敏(型)红外探测器

响应元吸收红外辐射而使温度升高,利用温度升高所导致的体积膨胀、电阻的改变、温差电动势的产生或自发电极化的改变等,度量入射辐射的强弱。

光子(型)(或光电型)红外探测器

响应元内的电子直接吸收红外辐射的光子能量而发生运动状态的改变,利用这一改变所导致的电导的改变或电动势的产生等,度量入射辐射的强弱。

整流(型)红外探测器

红外辐射是频率比无线电波更高的电磁波。与无线电波一样,也可用结型器件(如半导体结、金属-半导体结、金属-金属结、约瑟夫逊结等)作混频器,进行外差接收。不过,这种方法通常用于相干性的远红外辐射(即远红外激光)的探测。

特性参数

红外探测器是把入射的红外辐射功率转变成输出电压的功率探测器(图1),用特性参数表示其使用规范和特性。对 1~14微米波段的探测器已有国际通用的参数。这些参数对远红外波段探测器也大体适用。

图

响应率

输出信号电压S与输入的红外辐射功率P之比,即

公式 符号     (2)

测量条件为:

(1)辐射源用500K的黑体辐射,或其波长和功率均为已知的单色辐射;

(2)入射辐射的功率应调制成按正弦变化,即正弦调制,输出电压也将按正弦变化;

(3)输出电压和输入功率都用均方根值;

(4)输出电压必须用开路电压;

(5)辐射功率的大小,必须选择在输出电压与入射功率成正比的范围内。

图

响应波长范围

单色响应率与波长的关系(图2),称为分谱响应曲线或响应光谱。热敏型红外探测器的响应率与波长无关(至少在 1~15微米范围内)。光电型红外探测器有峰值波长λp和长波限λ公式 符号。通常取响应率下降到λp处的一半所在的波长为λ公式 符号。光电探测只在λλ公式 符号范围内有响应,因而又称为选择性红外探测器。图2的纵轴通常用相对单位表示。

噪声电压

如果测量探测器输出的电子系统有足够大的放大倍数,即使没有入射辐射,也可看到有一些毫无规律的、事前无法预测的电压起伏。它的均方根值称为噪声电压 N。此噪声来源于探测器中的某些基本的物理过程,是无法消除的。

噪声等效功率

当入射红外辐射所产生的输出电压正好等于探测器本身的噪声电压时,这时的入射辐射功率称为噪声等效功率PNE。这是一个可测的量。设入射辐射功率为P,测得探测器的噪声电压为N,则按照比例关系,SN 的辐射功率为

公式 符号    (3)

噪声电压与测量放大器的带宽墹f有关。对于红外探测器。N公式 符号。通常用单位带宽时的PNE表征探测器探测弱辐射信号的本领。此参数适用于所有的红外波段的探测器。

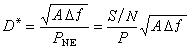
探测率

探测器的噪声等效功率值与探测器的面积A有关,因而不能用它比较两个不同面积的探测器的优劣。通过分析,大多数红外探测器的噪声等效功率PNE公式 符号,考虑到带宽,则PNE公式 符号。为了比较不同来源的红外探测器,制定了规一化的探测率D*

公式 符号

公式 符号   (4)

这就是当探测器的响应元面积为1厘米2,放大器带宽为1赫时,单位功率所能给出的信噪比。这个数值越大,探测器就越好。测量D*的条件与测量RN 的条件相同。谈到一个探测器的探测率D*时,必须指明源的性质、调制频率和放大器的带宽,规定的写法为D*(辐射源,调制频率,带宽),如D*(500K,800,1)、D*(λp,800,1)等。在实践中,用单色辐射源测RD*比较困难,一般都是测量器件对500K黑体辐射源的探测率和以相对值表示的分谱响应,再转换到单色辐射率。

响应时间

当入射辐射突然照射到探测器上时,它的输出需要经过一定时间才能上升到与入射辐射功率相对应的稳定值。当辐射突然撤离时,也需要一定时间才能下降到最初的稳定值。一般说来,上升或下降所需的时间是相等的,称为探测器的响应时间τ

其他参数

探测器的工作温度、工作时的外加电压或电流、响应元的面积、电阻和低温工作的探测器的立体角等,都是设计或使用时所必须考虑的。

图

探测器的比较

热敏探测器是在室温条件下能探测到15微米以至远红外波段的器件;与入射辐射的波长无关,可以用作辐射功率的绝对值测量;探测率为108~109厘米·赫公式 符号/瓦,响应时间为10-3~10-2秒。光子探测器对波长有选择性,探测长波时需要在低温下工作。降低工作温度可提高探测率。探测率为109~1011厘米·赫公式 符号/瓦,响应时间为10-4~10-9秒。几种常用探测器的分谱探测率见图3。表中列出几种红外辐射探测器的主要参数,所列数据表示一般探测器的大致参数范围,最佳探测器的参数可超出上述范围。

图

一切物体都在不断发出红外辐射,因而人们的周围处处都有红外辐射。这些从环境中发射出来的红外辐射称为背景辐射。当使用红外探测器探测特定的信号辐射时,周围环境红外辐射的影响是不可避免的。它们从各个方向投射到探测器上,引起探测器的响应。其总功率通常要比信号辐射功率大得多。如果这一功率恒定不变,就可以从总的输出中减去其分量,从而消除其影响。事实上,背景辐射并不是恒定不变的,其功率或光子数都在一个平均值上下涨落。这个涨落可能最终影响到红外探测器的工作性能。

探测器的噪声一般来自探测器的探测机理本身,如果探测器的性能好,它本身的噪声电压就很低,以至它的输出能反映出背景辐射的涨落。这时的噪声就是背景辐射噪声。用这一噪声计算所得的探测率称为背景辐射限探测率公式 符号

对于光电类红外探测器,背景辐射显然与探测器的长波限λ公式 符号有关。因为在整个背景辐射中,只有波长λλ公式 符号的辐射能引起探测器的响应。假设响应元对这类辐射的量子效应为1,背景辐射为295K的黑体辐射,探测器的视场角为180°,则从理论上可以计算出背景辐射限探测率与长波限的关系。图3右上角两条虚线分别代表理论计算的光伏型探测器和光导型探测器的背景辐射限探测率,前者是后者的公式 符号倍。对于低温工作的光电型探测器,加适当的冷屏以缩小对背景辐射的视场角,可以提高背景辐射限探测率。例如,用60°的视场角,公式 符号可比图中的理论值高一倍。

热敏类探测器对各种波长的辐射具有相同的响应率,理论计算所得的295K背景辐射所决定的背景辐射限探测率为

公式 符号=1.81×1010  (cm·Hz公式 符号/W)

参考文章