[拼音]:bandaoti jiguang erjiguan
[外文]:semiconductor laser diode
通过PN结电注入泵浦的方式实现受激发射的半导体器件。它具有半导体器件的特点:体积小、结构简单、效率高、能直接调制,但输出功率、单色性和方向性不如其他激光器。
实现受激发射的三个要素是:激光材料、粒子数反转分布和谐振腔。只有直接带隙半导体材料才能制造激光二极管,包括Ⅲ-Ⅴ族化合物半导体(GaAs、InP等)及其三元、四元固溶体(Ga1-xAlxAs、In1-xGaxAs1-yPy等),Ⅳ-Ⅵ族化合物固溶体(Pb1-xSnxTe等)。图1表示这些材料所产生激光的波长范围。将单晶定向、切割、抛光后,通过扩散或各种外延方法或化学汽相沉积方法等在一定的晶面如 (001)上制成PN结。利用垂直该面的两个自然解理面如(110)构成法布里-珀罗谐振腔,便制成通常的激光二极管(图2)。
在PN结上施加正向偏置,则有电流流过PN结,即电子由N区注入到P区,而空穴由P区注入到N区。提高偏置电压,电流增大到某一定值时,就会使有源区材料的导带中能级上电子占有的几率大于价带中相对应能级上电子占有的几率,从而发生粒子数分布反转,能为受激发射提供增益。当增益等于或大于半导体材料本身的吸收损耗和端面漏出损耗时,就能获得受激发射
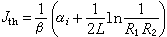
式中gth为阈值时的增益,αi为材料内部的吸收损耗,
为端面漏出损耗,L为腔长,R1、R2为两个端面的反射率。通常g=βJb,β为增益因子,J为注入电流密度。对于高增益区来说,b=1,因此得出受激发射的阈值条件为
1962年秋首次研制出 77K下脉冲受激发射的同质结GaAs 激光二极管。1964 年将其工作温度提高到室温。1969年制造出室温下脉冲工作的单异质结激光二极管,1970年制成室温下连续工作的 Ga1-xAlxAs/GaAs双异质结(DH)激光二极管。此后,激光二极管迅速发展。1975年Ga1-xAlxAs/GaAsDH 激光二极管的寿命提高到105小时以上。In1-xGaxAs1-yPy/InP 长波长DH激光二极管也取得重大进展,因而推动了光纤通信和其他应用的发展。此外还出现了由Pb1-xSnxTe等 Ⅳ-Ⅵ族材料制成的远红外波长激光二极管。
器件结构在垂直于PN结方向上有同质结、单异质结、双异质结、分别限制、大光腔等结构形式;在平行PN结平面上做成各种条形结构(如电极条形、平面条形、质子轰击条形、 沟槽衬底条形、 台阶条形、横结条形、埋藏条形、压缩条形等);谐振腔有法布里-珀罗腔、分布反馈和布喇格反射等形式。用晶格匹配的不同半导体材料制成异质结构,利用它们在禁带宽度和折射率上的差异,可在垂直PN结方向上获得几乎完全的载流子限制和光学限制。在平行于结方向上的各种条形结构,能将电流集中在一较窄的区域,并提供增益波导或折射率波导。这些结构上的改进使激光二极管的性能大为提高。
器件的性能(1)输出光功率和输入电流的关系:L-I特性通常如图3。电流低于Ith时为自发辐射(荧光),大于Ith时为受激辐射(激光)。Ith为阈值电流。受激发射时曲线的斜率为外微分量子效率。Ith以上和以下时分别发出的激光功率同荧光功率之比称消光比。通常双异质结激光二极管连续工作的Ith为20~100毫安,输出光功率可达几十毫瓦,外微分量子效率为20%~60%。
(2)电压和电流的关系:激光二极管的V-I特性同通常的二极管相似,由此可测出激光器的串联电阻,通常为零点几到几欧姆。
(3)光谱特性:激光二极管有源区禁带宽Eg(ev)同发射波长的关系为Eg=1.2398/λ(λ:μm)。多模二极管的谱线半宽一般小于20埃,而单模器件通常小于1埃。
(4)光束发射角度:由于发光面积较小,因此光束发散角度较大。通常平行和垂直于PN结方向上的发散角为10°×50°,最好的约为4°×14°。
(5)温度特性:阈电流密度满足 Jth
exp(T/T0),式中T0为特征温度。如Ga1-xAlxAs/GaAs DH激光器,T0=100~150K,In1-xGaxAs1-yPy/InP DH激光器,T0=50~70K。
(6)瞬态特性:激光二极管可采用电信号直接调制,当电源刚接通(脉冲工作或直流工作)时,都可观测到瞬时振荡、延迟、自脉动等效应,这些与载流子寿命、电子和光子系统的相互关联、量子散粒效应、增益与损耗的不均匀性以及温度变化等有关。
(7)噪声:由于种种原因(如量子涨落、模式跳动等),激光二极管在调制应用时会产生量子噪声、模式分配噪声、二次谐波噪声、反射光噪声等。
(8)可靠性:维持激光输出功率恒定,工作电流提高50%所需时间,或者维持电流恒定而输出功率下降某一百分比所需时间称为激光器的寿命。寿命与温度关系为
Ea采用高温加速老化,就可依照此式推算出室温下的寿命。
(1)光纤通信系统中的光源:主要采用波长为0.82~0.90微米的Ga1-xAlxAs/GaAs DH激光器和1.3微米、1.55微米的In1-xGaxAs1-yPy/InP DH激光器作光源。特别是后者,在光纤中损耗低、色散小,更适于长距离光纤通信。激光二极管常用作发射端和中继站的电光转换器、接收端的本机振荡器等。
(2)光盘存储系统中的写入和读出光源:能在光盘介质上存储或取出大容量信息。
(3)光纤、探测器参数的测试光源:可用来测量光纤的带宽、色散、故障点、探测器的响应时间等。
(4)信息技术方面:可作为激光印刷、激光扫描器、激光传感器、激光显示等的光源。
(5)铅盐类Pb1-xCdxS、Pb1-xSnxTe等制成的激光二极管,波长范围2~40微米,并且可调谐,常用来作激光光谱仪和大气污染监测设备的光源。
现代采用新结构已制成各种结构的动态单频激光二极管、量子阱激光二极管、双稳态激光二极管。激光二极管同探测器或场效应晶体管集成在同一衬底上的光集成或光电集成器件也有新进展。
- 参考书目
- H.C.Casey Jr.and H.B.Panish, Heterostructure Lasers, Academic Press,New York,1978.