标量磁位

在一定条件下描述磁场的物理量。又称磁标势。在恒定磁场中,它只适用于无传导电流分布的区域,如载流导线之外的空间。根据安培环路定律,一般情况下磁场强度H 的环路积分不为零。但是,如果附加以下限制条件:

(1)积分路径限制在无传导电流分布的区域,即载流导线以外;

(2)对每个传导电流回路设置一假想壁障,使积分路径不穿越壁障(图1)。那么,环路将不能链环任何传导电流,因而有

图 公式 符号

在上述条件下,

公式 符号

公式 符号

上式表明,加以限制条件后,H 的线积分决定于始点P及终点Q而与路径无关,即具有位场的性质。因而可以引入一标量函数描写磁场的分布,这就是标量磁位φm

公式 符号

式中Q点为所选标量磁位参考点。参考点选定后,场中各点的标量磁位各有一确定值。这就形成了一个标量磁位函数,它随P点的空间坐标而改变。参考点处标量磁位取为零。上式的微分形式为

公式 符号

即磁场强度等于标量磁位的负梯度。

φm存在的区域,联接φm相等的各点组成的面称为等磁位面。作场图时,如使任何两个相邻等磁位面间的磁位差都相等,则等标量磁位面愈密之处其磁场强度愈大。磁场强度的方向与等磁位面的法向一致,并从高磁位处指向低磁位处。

标量磁位的单位在国际单位制中为安〔培〕(A),它与电流量纲相同。

利用标量磁位计算细线状电流回路的磁场是方便的。在介质均匀的磁场中,根据毕奥-萨伐尔定律可以证明一任意电流回路在任一点P的标量磁位为

公式 符号

式中Ic是回路中的电流,Ω是回路壁障面S在P点所张的立体角。从P点看电流回路为顺时针方向时,Ω为正,逆时针方向时,Ω为负。式中的φ0为常数,它与参考点的选择有关。若选Ω=0处为参考点,则φ0=0。

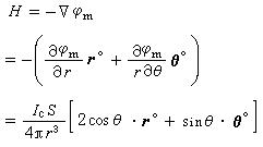
小圆形线圈在远处所建立的磁场强度可利用立体角、标量磁位予以计算。此时

公式 符号 公式 符号

此处令公式 符号处为参考点。在采用球坐标后,

公式 符号

标量磁位满足微分方程

2φm=墷·M

式中M磁化强度。在磁介质为均匀、各向同性和线性的情形下,Δ·M =0,此时φm 满足普拉斯方程

2φm=0

时变电磁场中,一般情况下磁场强度是有旋有散的。当它被分解出无旋有散分量时,仍可引用标量磁位来描述该分量。但此时标量磁位满足的是广义波动方程。

图