伯努利方程

流体宏观运动机械能守恒原理的数学表达式。1738年瑞士数学家D.伯努利在《水动力学──关于流体中力和运动的说明》中提出了这一方程。它可由理想流体运动方程(即欧拉方程)在定态流动条件下沿流线积分得出;也可由热力学第一定律导出。它是一维流动问题中的一个主要关系式,在分析不可压缩流体的定态流动时十分重要,常用于确定流动过程中速度和压力之间的相互关系。

方程的形式

对于不可压缩的理想流体,密度不随压力而变化,可得:

公式 符号

式中Z为距离基准面的高度;p为静压力;u为流体速度;ρ为流体密度;g为重力加速度。方程中的每一项均为单位质量流体所具有的机械能,其单位为N·m/kg,式中左侧三项,依次称为位能项、静压能项和动能项。方程表明三种能量可以相互转换,但总和不变。当流体在水平管道中流动时Z不变,上式可简化为:

公式 符号

此式表述了流速与压力之间的关系:流速大处压力小,流速小处压力大。

对于单位重量流体,取管道的1、2两截面为基准,则方程的形式成为:

公式 符号

式中每一项均为单位重量流体的能量,具有长度的因次,三项依次称为位头、静压头和动压头(速度头)。

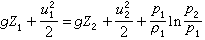
对于可压缩理想流体,密度随压力而变化。若这一变化是可逆等温过程,则方程可写成下式:

公式 符号

若为可逆绝热过程,方程可写为:

公式 符号

式中γ为定压比热容cp和定容比热容cV之比,即比热容比,也称为绝热指数。

对于粘性流体,流动截面上存在着速度分布,如用平均流速ū表达动能项,应对其乘以动能校正系数 α。此外,还需考虑因粘性引起的流动阻力,即造成单位质量流体的机械能损失hf,若在流体流动过程中,单位质量流体又接受了流体输送机械所做的功W,在这些条件下,若取处于均匀流段的两截面1和2为基准,则方程可扩充为:

公式 符号

α 值可由速度分布计算而得, 流体在圆管内作层流流动时 α=2;作湍流流动时, α≈1.06。

方程的应用

伯努利方程阐明的位能、动能、静压能相互转换的原理,可用来分析计算一些实际问题,例如:

(1)计算流体从小孔流出的流速 设在容器中盛有液体,液面维持不变,距液面下h处的容器壁面上开有一小孔,液体在重力作用下自小孔流出。据伯努利方程可以计算出液体由小孔流出时的平均流速为:

公式 符号

式中Cd为孔流系数,其值由实验确定,约为0.61~0.62;g为重力加速度。由上述速度及已知的小孔面积,可算出通过小孔的流量;或由这一关系,计算确定达到一定流量所必须维持的液面高度。若气体在一定压力差作用下由容器壁上的小孔流出,当速度不过大时,可视为不可压缩流体,其流量也可以利用伯努利方程来估计。

(2)毕托管 设均匀气流以等速uo绕过某物体流动,气流受阻后在物体前缘(A处)停滞,形成驻点(图1),

图1

该点处的压力称为驻点压力pA。若未受扰动的某点O压力为po,由伯努利方程可得

公式 符号

测出pA与po的差值,即可算出流速uo。据此原理计设的测速装置,称测速器,又称毕托管。毕托管(图2)由一个圆头的双层套管组成,

图2

在圆头中心处开有与内套管相连的小孔,内套管与测压计的一头联接,以测定驻点压力pA;在外套管侧表面一定距离处,沿周向均匀地开一排与管壁垂直的静压孔,外套管与测压计的另一头相联,以测定压力po。根据测得的压力差h,可计算测点处的流速。

(3)文丘里管 又称文氏管(图3),

图3

是一种先收缩而后逐渐扩大的管道。由于截面积有变化,流速改变,根据伯努利方程,压力也随之改变。量出管前与喉管处的压力差,即可推算流量。用于测量流量的文丘里管,称文丘里流量计。又由于文丘里管喉部形成高速气流,会产生负压而抽吸液体,使气液密切接触,用于完成气体的洗涤、冷却、吸收和反应等操作。用于这类操作的文丘里管称为文丘里洗涤器。