流体运动学

几何学观点研究流体运动所遵循的规律的流体力学分支。

描述流体运动的方法

描述流体运动有两种方法。

(1)拉格朗日法:通过描述每一个流体质点物理量(如速度、压力等)随时间的变化来研究流体的运动。

(2)欧拉法:通过描述流场(充满流体的空间)中各个时刻每一个空间点上的物理量来研究流体的运动。欧拉法中物理量B表示为空间点位置和时间t的函数,即B=B(xyzt)。如流场中所有空间点上的各个物理量均不随时间变化,即公式 符号,这种流动称为定常流动,否则就是不定常流动。

迹线、流线和流管

流体质点运动的轨迹称为迹线。在给定时刻,沿流场中每一点的速度方向作一微小线段,这些线段的连线构成一簇曲线,它们中的每一条曲线都称为流线。因此,流线上任意一点的切线方向就是该点流速方向。流线可以随时间而变,但定常流动时流线不随时间变化,且与迹线重合。流动中任取一条不是流线的封闭曲线,通过该曲线的所有流线构成一个管状曲面称为流管(见图)。流管表面没有流体通过,流体只能在流管中流动。流体沿管道流动时,管壁也是流管。对于不可压缩流体,流管中体积流量保持不变。如果流管横截面积A缩小,则平均流速v增大,反之,则平均流速减小。

图 质点导数

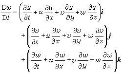
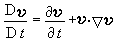
流体质点物理量随时间的变化率。如用B表示某物理量,则其质点导数表示为公式 符号。在欧拉法中其展开式为

公式 符号

式中v为速度向量;墷B为物理量 B的梯度。公式 符号称为物理量B的当地导数或局部导数,v·墷B 称为物理量 B的迁移导数或对流导数,公式 符号称为质点导数算子。根据上式,在欧拉法中,流体质点加速度(即速度的质点导数)公式 符号。在直角坐标系中,分别用v=u i+v j+w kuvwijk表示xyz方向的速度分量和单位,则

公式 符号 流体微团速度分解定理

流体微团的运动可以分解为平移、刚体转动和变形运动,微团上任意两点间的相对速度可以看成是由刚体转动和变形运动构成的。

无旋流动和有旋流动

流场中涡量处处为零的流动称为无旋流动,否则就是有旋流动。涡量(Ω)就是速度的旋度,它等于流体微团刚体旋转角速度ω的2倍,反映流体微团旋转的快慢和方向。在直角坐标系中,

公式 符号 速度势

无旋流动时存在速度势墷φ,它与速度的关系为v=墷φ,在直角坐标系中表示为

公式 符号 运动学边界条件

流体在边界上必须满足运动学条件。对于粘性流体,在与固体交界时,界面上任一点的速度等于该点上流体质点的速度;在分层流体边界上,界面两侧流体质点的速度彼此相等。对于无粘性流体,在与固体交界时,界面上任一点的法向速度等于该点上流体质点的法向速度;在分层流体边界上,界面两侧的流体质点永远保持在边界面上。

参考书目
  1. G.K.Batchelor,An Introduction to Fluid Dynamics,Cambridge Univ.Press,Cambridge,1970.