表面形貌

摩擦副表面的几何形态和性质。当相关的工作表面间存在薄的润滑油膜时,工作表面靠近会使两表面的峰谷阻遏或疏导润滑油的流动,这将影响摩擦力和油膜厚度的计算结果。两表面再靠近,则两面峰顶发生接触或碰撞,由此而产生的摩擦热不仅对油有热效应,而且会影响边界膜的形成和破裂。至于接触着的摩擦副表面的磨合和磨损过程,当然更与表面的原始形貌和磨痕形貌有关。表面形貌对于研究摩擦学问题十分重要,但直到20世纪60年代人们才逐渐认识,到70年代后期才将它与表面损伤联系起来研究。

表面形貌的表征方式

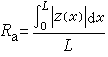
真实表面属于三维几何形态,可用直角坐标系(图1)描述。xy为工作表面,z为表面高度坐标轴。某一截面的表面轮廓平均高度线(中线)为x坐标轴(图2),对高度均值有多种表达方法,如轮廓算术平均值公式 符号和均方根值公式 符号,式中L是取样长度。它们是表征z方向尺寸的一维参数。表征轮廓起伏的间距和频率,则是x方向尺寸的一维参数,如轮廓曲线在中线上相邻交点间的截距均值S m或中线交点密度均值公式 符号。表征截面轮廓的二维形貌,需要用zx两个方向的参数组成。但为了表征轮廓的变化差异,还需要用更多的参数描述。如果表面形貌分布属于正态型的,若选配合理仅用 3个一维参数组即足以表达。P.R.纳雅克根据随机理论,推荐用σ公式 符号公式 符号3个参数。其中公式 符号是单位长度内轮廓曲线跨越中线次数的均值(即中线交点密度);公式 符号是单位长度内峰顶数目的均值(即峰顶密度)。

图1 图2

对于摩擦学问题,不仅需要了解轮廓高度变化规律,还需要了解轮廓分布不对称于中线的程度、轮廓各点的斜率均值、平均峰顶曲率和平均峰高等。

表面形貌的综合效应

对于摩擦学问题,必须考虑组成摩擦副的两个表面的综合效应。对于真实(考虑粗糙度效应的)表面的接触和摩擦磨损问题,不仅要研究干摩擦工作情况,更应考虑界面间有润滑剂或各种表面膜存在的工况。

(1)表征油膜厚薄常用无量纲参数膜厚比公式 符号h/σ。式中h是油膜厚度;公式 符号是综合粗糙度。存在润滑膜的摩擦副,公式 符号>3属于完全弹性流体动压润滑状态,由油膜承担绝大部分载荷,不会粘着。公式 符号<1属于边界润滑状态,容易粘着,即使发热不大也可能发生粘着。1≤公式 符号≤3,属于部分弹性流体动压润滑状态,表面起伏会影响润滑油的流动,可能发生粘着。

(2)接触表面峰顶碰撞,如为塑性变形,可能会导致粘着。判别变形是否进入塑性,可用塑性指数公式 符号作为依据。峰顶物理模型若取成球面,根据弹塑性理论可导出

公式 符号

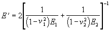
式中E′是峰顶材料的综合弹性模量

公式 符号

其中E1E 2是组成摩擦副两零件的材料弹性模量,v1v2是它们的泊松比,H 表示峰顶材料的布氏硬底,σp是平均峰高(平均峰顶位置高度的均方根植),r是平均峰顶的曲率半径。