[拼音]:chengshi ranqi zhiliang tiaozheng
[外文]:city gas blending
将供应城市使用的不同燃气,按适当比例掺混,使之符合质量指标。有时也需要掺入非燃气体,如氮或空气。
各种燃气分别由若干可燃组分(氢、一氧化碳、各种气态烃等)和非燃组分(二氧化碳、氮、氧等)组成。各种可燃组分的燃烧特性差异很大,并受非燃组分的影响。作为城市燃气,需要加以控制的燃烧特性是发热量、比重和火焰传播速度。调整城市燃气的质量,首先是指发热量,因为发热量不仅是燃烧特性的一项重要参数,还反映着燃气的放热能量和经济价值。
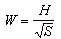
发热量(H)和燃气的比重(S),是决定燃具热输出的两个重要因素。为便于衡量这两个参数的作用,可以华白指数(W)判定:
火焰稳定性则主要取决于火焰传播速度。因此,华白指数和火焰传播速度是燃气分类和控制质量的基本指标。
当城市燃气采用单一气源时,比重和火焰传播速度的波动值一般都在允许范围之内。因此,只需对发热量稍加调整。但以多种燃气混合输配时,要通过分析计算,选择有可能混配合格的燃气作为配合的原料气。多种燃气的混配调整工作比较复杂,须采用自动分析、测定和调节设备进行过程的连续控制和监视。