人造地球卫星运行轨道

从末级火箭推力中止到人造卫星陨落(或返回地面)前,人造地球卫星质心的运动轨迹。它决定于入轨点的位置和入轨速度。运行轨道是一条与开普勒椭圆轨道(见二体问题)相差很小的复杂曲线。常用开普勒椭圆轨道来描述卫星的大致运动。在这一基础上,可以用轨道摄动的方法,进一步求出运行轨道的精确解,得到卫星位置和速度的准确预报,以满足卫星工程的需要。

开普勒椭圆轨道

卫星在开普勒椭圆轨道上运行时,满足二体问题运动规律。只要知道 6个常数(即轨道要素)就能确定卫星的运动。卫星在椭圆轨道上运动一圈的时间称为轨道周期,周期的长短与半长轴有关。半长轴相同的轨道,其周期也相同。在椭圆轨道上运动时,卫星的地心距离和速度都在变化。距地心最近点 P为近地点,最远点 A为远地点。近地点和远地点又统称为拱点。近地点和远地点的地心距离之和是半长轴的二倍。卫星的速度仅与地心距离有关,满足活力公式(见航天器轨道速度)。在近地点时速度最大,远地点时速度最小。卫星在轨道上运行时地球也在自转,当卫星回到轨道上的同一点时,不一定回到地球同一地区的上空(见星下点轨迹)。

图

地球引力场

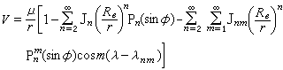
由于地球形状不规则,质量分布也不均匀,对于卫星所受到的吸引力不能用简单表达式描写,常用无穷级数展开式描述。这个级数收敛很慢,说明地球引力是很复杂的。这个力仅与卫星的位置有关,属于保守力。卫星受到的引力加速度是位函数的向导数。而位函数的表达式是:

公式 符号

式中r、λ、φ在描写卫星位置的球坐标中分别为地心距离、地心经度、地心纬度;Re为地球赤道平均半径;μ为地球引力常数;Pn(sinφ)是自变量sinφn勒让德多项式,P嬘(sinφ)是mn阶的缔合勒让德多项式;Jn、Jnm、λnm是与地球形状及密度分布有关的常数。J2值为1.08263×10-3,其他系数都在10-6量级。位函数的项可以分为三类:

(1)位函数的第一项公式 符号是球形地球的引力项。如仅有这一项,卫星运动轨道为开普勒椭圆轨道。

(2)勒让德多项式项称为带谐项。带谐项只与卫星所处的纬度有关,反映地球的旋转对称性。J2项表示地球是一个旋转椭球体,其赤道半径比极半径长21.4公里。J2项是主要项,常称为地球扁率摄动。J3项反映地球南北不对称,南半球比北半球大,北极突出而南极凹进,呈梨形。

(3)缔合勒让德多项式项称为田谐项。田谐项与卫星的经度和纬度都有关。对于一般卫星的运动,经度值变化为周期性,影响互相抵消。对于同步卫星,尤其是静止卫星,经度变化很小,田谐项的影响才比较明显。J22项反映地球赤道也是一个椭圆,这个椭圆的长轴只比短轴长138米。长轴约在东经162°和西经18°方向,短轴约在东经72°和西经108°方向,这一项对地球静止卫星轨道的摄动已不可忽略。

轨道主要摄动

人造地球卫星的实际运行轨道并不是开普勒轨道。由于摄动力的影响,卫星的运动轨道比较复杂。按摄动理论,轨道要素不再是常数。根据轨道要素的变化特点,轨道摄动可以分为长期摄动、长周期摄动、短周期摄动(见航天器轨道摄动)。长期摄动与时间成正比,引起人们特别注意,人造地球卫星轨道的主要长期摄动有:

(1)地球扁率引起轨道面绕地球自转轴均匀旋转,称为轨道面的进动。当轨道倾角小于90°时,从北极看,进动是顺时针方向;大于90°时,进动方向是逆时针的;等于90°时,则不转动。进动角速率与轨道长轴、偏心率、倾角有关。

(2)地球扁率引起椭圆长轴在轨道面内均匀转动。转动角速率用近地点幅角的变化率表示。在倾角小于63.4°或大于 116.6°时,近地点幅角均匀增加。在63.4°与116.6°之间时,均匀减小。等于63.4°或116.6°时,不转动。63.4°和116.6°称为临界倾角。

(3)地球扁率引起平近点角的长期变化。卫星在椭圆上运动的平均角速率为360°/TT为周期。平近点角是卫星经过近地点后以平均角速度运动时所转过的角度,用M 表示。这是一个理论角,常用来代替过近地点时刻,而作为轨道要素之一。平近点角的长期变化与轨道大小、偏心率和近地点位置有关,卫星飞行时间越长,变化越大。

(4)大气阻力引起轨道半长轴和偏心率同时衰减,这项长期摄动关系到近地卫星的轨道寿命

长周期摄动和短周期摄动使轨道要素呈周期性变化。在精确计算轨道时也须考虑。轨道摄动给计量轨道周期带来麻烦,结果出现几种不同用处的周期。如交点周期是从升交点到再次经过升交点的时间间隔;近点周期是飞行器经过相邻两个近地点的时间间隔;恒星周期是用长半轴根据开普勒第三定律计算出的周期。这三个周期互不相同,彼此可以换算。轨道摄动使得轨道计算复杂化,有些摄动需要设法避免其影响。例如,苏联的“闪电”号通信卫星倾角选为临界角,避免了远地点位置的移动,使得远地点始终在苏联领土上空,这样可保持苏联国内通信时间较长。有时人们也利用摄动力来得到所需要的轨道变化。例如利用轨道面的长期旋转设计出太阳同步轨道,利用大气阻力使卫星返回地面。根据卫星使命选择合适的轨道是轨道设计的主要任务。

根据轨道变化规律可以设计出像太阳同步轨道、地球静止卫星轨道、极轨道、回归轨道等实用的轨道。为了保持轨道精度,卫星需要装设轨道控制系统,用来克服入轨误差和抵消摄动力的影响(见航天器轨道控制系统)。

参考书目
  1. 刘林等编著:《人造地球卫星运动理论》,科学出版社,北京,1974。
  2. J.Jensen,G.Townsend,J.Kork and D.Kraft, DesignGuide to Orbital Flight, McGraw-Hill, New York,1962.