传热分系数

又称传热膜系数、给热系数或放热系数,是衡量对流传热强弱程度的一个参数,是流体在单位时间内,在单位温度差推动下,经单位传热面积所传递的热量。传热分系数与传热面积乘积的倒数为对流传热的热阻,有时亦以传热分系数的倒数表征对流传热的热阻。

传热分系数与传热时有无相变、流体流动状况、固体壁面结构和尺寸以及流体本身的物性(如热导率、粘度、密度、比热容)等有关(见表)。有相变对流传热的传热分系数,通常比无相变对流传热时的大得多。提高传热分系数,是研究对流传热的目标之一。

图

工程上求取传热分系数的常用方法,是用相似论因次分析来确定与对流传热过程有关的无因次数群,如普朗特Pr雷诺数Re和努塞尔数Nu等,然后通过实验求得它们之间的关系。传热分系数 α则可以由下式算出:

公式 符号

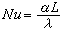
式中λ为流体的热导率;L为传热面的几何特征长度;Nu为努塞尔数,它是反映对流传热强弱的一个无因次数群(即无量纲参数),其表达式为:

公式 符号

此表达式也可改写成为:

公式 符号

式中 α*为一虚拟量,相当于传热过程仅以热传导方式进行时的传热分系数。从上式可看出努塞尔数的物理意义。

当湍流流动的流体与一定几何形状的换热面进行无相变对流传热时,努塞尔数是雷诺数和普朗特数的函数,即:

Nuf(Re,Pr)

这是由于这种对流传热过程的强弱程度取决于速度场与温度场,而速度场特性取决于雷诺数,普朗特数又决定速度场与温度场间的关系。传热过程的实验研究结果,通常用这个函数关系式来关联,并应用于传热设备的设计计算中。例如在圆管内作湍流流动的流体与管壁进行对流换热时,有如下经验关系:

Nu=0.023Re0.8Prb

式中指数b的数值,在流体加热时为0.4,在流体冷却时为0.3。算出Nu后,就不难求出传热分系数。由于建立此式时所用的流体物性都是按照流体进出口温度的算术平均值求得的,因此应用此式时也应参照这一规定确定物性参数。此平均温度称为定性温度。使用这类经验式时,必须注意关于定性温度和特征长度的规定,且经验式只能在建立此式的实验范围内应用。

此外,按边界层理论得出的解析解或数值解以及三传类比的规律,也可用以求得传热分系数。