相似论

将描述物理现象的微分方程进行相似变换,以得到无因次数群之间的关系式的方法。它与因次分析方法一样是一种指导实验研究的方法,广泛用于航空、航海、水利、建筑等工程学科的实验研究。在化学工程领域里,它主要用于传递过程和单元操作的实验研究,是对这些分支学科的形成和发展起过重要作用的一种化学工程研究方法。

沿革

相似的概念起源于几何学中。例如两个三角形的对应角相等,则其对应边长度之比值必相等,这两个三角形称为几何相似。在几何相似的系统中,若各对应点或对应部位上各相应物理量之比值相等,则这些系统为物理相似。

早在1686年I.牛顿就在《自然哲学数学原理》一书中讨论了流体运动相似的条件,并预见了相似论这一学科的创立。1822年,法国物理学家J.-B.-J.傅里叶在研究热传导时提出了热相似的概念。但他们提出的流体运动相似和热相似,都还只是就个别情况而言的。直到1848年法国J.贝特朗以力学方程式的分析为基础,首次阐明了相似现象的基本性质,提出了相似第一定理,即凡相似的现象,其相似准数的数值相等。

此后,有许多学者将它应用于声学、流体力学、航空动力学的研究,以相似准数的形式来处理实验数据。英国科学家O.雷诺在研究管流的规律时,以雷诺数作为确定流动状态为层流还是湍流的判据即为一例。后来俄国学者Α.费捷尔曼和美国学者E.白金汉分别导出了相似第二定理。该定理指出:可以用相似准数与同类量比值的函数关系来表示微分方程的积分结果。

1930年苏联科学家M.B.基尔皮契夫和A.A.古赫曼提出的相似第三定理指出:现象相似的充分必要条件是单值条件相似及由单值条件组成的相似准数相等。至此,相似论形成了一门完整的学科。

方法

在研究比较复杂的物理现象和工程问题时,人们往往通过建立微分方程和单值条件来描述各参数与变量间的关系。微分方程反映了一类过程的普遍规律,单值条件则规定了过程进行的具体条件,通常包括过程进行的空间范围、参与过程物系的物理性质、过程在边界上和时间上的特点等。相似论方法通过对微分方程和单值条件进行相似变换,得到若干与过程有关的物理量按不同组合构成的无因次数群,即为相似准数。在进行实验研究时,应按相似准数的形式来测定和整理实验数据。

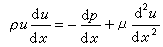
例如,在研究流体在光滑水平直管中作定态流动的流动阻力时,单值条件为流体物性参数密度ρ、粘度μ以及几何特征参数管长l、管径d;流速u、压力p为非单值条件。描述这一流动问题的微分方程为:

公式 符号

通过相似变换可得压降表示式:

公式 符号

式中公式 符号欧拉数;公式 符号为雷诺数。

应用 一般说来,相似论的应用为:

(1)在物理实验中用相似准数的形式来处理实验结果;

(2)在工程试验中按现象相似的条件,确定模型试验的几何条件和物理条件。

在化学工程领域里,相似论有广泛应用。描述动量传递、热量传递、质量传递的基本规律的微分方程,如纳维-斯托克斯方程(见运动方程)、能量方程、对流扩散方程等都早已建立。但迄今除某些比较简单的情况外,这些方程一般无法求得解析解,甚至也不能得到数值解。化学工程研究者正是借助于相似论的指导,对这些方程进行相似变换,得到与过程有关的相似准数,然后通过实验研究确定相似准数间的函数关系,来探索这些传递过程的规律。如粘性流体流动的流动阻力,可用欧拉数与雷诺数的关系描述;强制对流传热的传热分系数,可用努塞尔数与雷诺数、普朗特数的关系描述;对流传质的传质分系数,可用舍伍德数与雷诺数、施密特数的关系描述。

对于一些比较复杂的化工问题,如在流态化研究中,可用弗劳德数作为区分散式流态化和聚式流态化的判据;在关于流化床的流体力学、传热、传质研究中,也广泛利用相似准数来处理实验数据;在填充塔的操作性能的研究中,相似准数的关系式被用于液泛速度的计算。

与因次分析方法相比,相似论的结果更加可靠,因为它是通过微分方程的相似变换来求得相似准数的。但是当由于研究对象的复杂性难以确定微分方程和单值条件时,其应用就受到了限制。此外,对化学反应和物理变化共存的系统,因为不能同时满足化学相似和物理相似的条件,相似论也不能奏效,这时可求助于数学模型方法。