室内声学

研究室内声音的传播和听闻效果的学科,是建筑声学的重要组成部分。其目的是为室内音质设计提供理论依据和方法。 声音在室内的传播与房间的形状、 尺寸、构造和吸声材料布置有关;听闻效果则反映人们的主观感受,对不同用途的房间有不同的评价标准。

室内声场

当声源向空间辐射声波时,该声波存在的区域称为声场。如果声波传播时不受阻碍和干扰,这样的声场称为自由声场。对一个波阵面为球形的点声源来说,声场强度与离声源中心距离的平方成反比,这一规律称为反平方规律。

在室内,声源辐射的声波传播到界面上时,部分声能被吸收,部分被反射。通常要经过多次反射后,声能密度才减弱到可以被忽略的程度。当声源连续稳定地辐射声波时,空间各点的声能是来自各方向声波叠加的结果。其中未经反射、直接由声源传播到某点的声波称为直达声;一次和多次反射声波的叠加称为混响声。室内声场由直达声和混响声合成,直达声的声能密度按反平方规律衰减,而混响声的声能密度可近似地认为各处相等。混响声能的大小,除与声源的辐射功率有关外,还与空间大小和各界面的平均吸声系数有关。

研究方法

在不同条件下,可分别用几何声学方法、统计声学方法和波动声学方法来研究室内声音的传播。

几何声学方法

在研究自由声场的扩散性时,常采用声线来描述声音传播的途径。这种忽略声的波动特性,而用声线概念研究声的传播途径的方法称为几何声学方法。当室内声音传播到一个尺寸比声波长度大得多的界面时,可用几何声学方法研究声音的传播规律。根据反射定律,声线的反射角等于入射角,且反射声线和入射声线与法线在同一平面上。因此可以利用声线的几何作图法来分析直达声和近次反射声的分布情况。避免直达声和第一次反射声之间有较大的延迟时间差,避免反射声的聚焦出现在听众席附近;通过靠近声源的反射面的布置,补充短延迟的反射声,以避免声源前面的声强随距离增加而出现过大幅度的下降等。

统计声学方法

忽略声的波动特性,从能量的观点出发,用统计学手段来描述声场平均状态的方法称为统计声学方法。一个连续发声的声源在室内开始发声时,稳定声场并不立刻建立,是随时间逐步增长而达到稳定状态。声源停止发声后,声场也不会立刻消失,而有一随时间逐渐衰减的过程(图1)。

图

用统计声学方法研究声能密度的平均增长过程和衰减过程可知,声源开始发声时,声能密度增长过程可用下式描述:

公式 符号

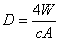
式中D(t)为声能密度(焦/米3);W为声源功率(瓦);c为声速(米/秒);A为室内表面总吸声量(米2);V为房间体积(米3);t为声源发声后经历的时间(秒)。当时间t公式 符号大得多时,可简化为:

公式 符号

此时声场达到稳定状态,声能密度达到极大值,它的大小仅与室内表面的总吸声量和声源功率有关。

声源停止发声后声能密度的衰减过程可以用下式描述:

公式 符号

此式表明,室内总吸声量越大,衰减就越快;房间体积越大,衰减越慢。声源停止发声后,声音还会在室内延续的现象称为混响,其衰减过程为混响过程。度量混响过程的量为混响时间T60(秒),定义为初始声压级下降60分贝所需的时间,其关系式为:

公式 符号

式中V为房间体积(米3);S为总表面积(米2);峞为平均吸声系数公式 符号m为空气的衰减系数。此外,混响理论的创始人W.C.赛宾也曾提出混响时间的计算公式:公式 符号,被称为赛宾公式,仅适用于室内平均吸声系数小于0.2的场合。

波动声学方法

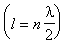
当室内界面的几何尺寸与声波波长可比时,声的波动特性突出了。用波动理论研究室内驻波共振影响的方法称为波动声学方法。根据波动声学原理,当一对平行墙面间的距离l等于声波半波长 λ/2的整数倍n公式 符号在这尺度方向上会产生驻波,即声波传播的压缩和稀疏“图案”在空间有着固定的位置,或者说室内空气振动出现共振。当人沿着驻波方向从一端走向另一端时,会感到声强有忽高忽低的变化,高低相差最多可达20分贝左右。这些能产生驻波的频率称为简正振动频率或称简正频率。其结果使声场极不均匀,而且会使声源中符合上述情况的若干频率公式 符号成分得到过分增强,也比别的频率衰减得更慢些,因此就会造成严重失真。

对于一个长、宽和高分别为 lxlylz的平行六面体房间,其简正频率fr(赫)可由下式计算:

公式 符号

式中nxnynz为正整数或零,分别代表某种振动方式,这些简正频率又可分为三类:

(1)轴向简正频率;

(2)切向简正频率;

(3)斜向简正频率。从0到fr的频率范围内可能出现的简正振动数N

公式 符号

式中V=lxlylz为室内容积;S=2(lxly+lylz+lzlx)为室内总面积;L=4(lx+ly+lz)为室内总边长。

在容积小的房间内,低频范围的共振频率较少,频率的分布不均匀。如果lxlylz的比例选择适当,不使共振频率简并,则分布可有所改善;一般采用1∶21/3∶41/3的调和级数的比例。图2所示为某些频率范围,峰顶括号内的数字即公式中的nxnynz,因振动方式简并而堆积在一起,造成室内的频率响应范围起伏很大。对于大房间和高频范围,由于简正频率较多,共振峰相互交叠,其效果可按统计声学方法来处理。

图

听闻效果

声音的强弱、音调的高低和音色的好坏是声音的基本特征。由于人耳只能分辨出时间间隔大于50毫秒的两个声音,因此在50毫秒内的近次反射声具有加强直达声的效果,这对于改善声场的扩散性,提高信噪比都有利。同时应尽量避免颤动回声和声聚焦的现象(见音质缺陷)。界面上吸声材料的频率响应曲线不可能是直线,在选择和布置吸声材料时要充分考虑这一情况,否则会造成频率失真。音色的丰满度亲切感直接与混响时间相关,混响时间过短,会感到干涩;而混响时间过长,又影响声音的清晰度。因此,在音质设计中应根据房间的具体使用要求,做到充分地利用直达声,合理地分布近次反射声,正确地控制混响声。

参考书目
  1. H.库特鲁夫著,沈译:《室内声学》,中国建筑工业出版社,北京,1982。(H.Kuttruff,Room Acoustics,2nd ed.,Applied Science Publ.Ltd.,London,1979.)