[拼音]:wuranyuan diaocha
[外文]:survey of pollution sources
根据控制污染、改善环境质量的要求,对某一地区(如一个城市或一个流域)造成污染的原因进行调查,建立各类污染源档案,在综合分析的基础上选定评价标准,估量并比较各污染源对环境的危害程度及其潜在危险,确定该地区的重点控制对象(主要污染源和主要污染物)和控制方法的过程。
任务和要求
污染源调查的任务因目的而异。如果是为了制订某一区域的综合防治规划或环境质量管理规划,调查的任务就是全面了解区域内的污染源情况,以便确定主要污染源和主要污染物;如果是为了治理一个区域内某一类污染源,如电镀废水污染源,调查的任务就是弄清区域内电镀车间的分布情况,各个车间的生产状况、排污情况及其对环境的影响;如果是为了给日常的污染源管理提供资料,调查的任务就是查明各类污染源的情况及其对环境质量的影响等。上述各种调查可以结合进行。
污染源调查的第一步是普查,查清区域内的污染源和污染物的一般情况,并将调查材料进行分类整理;第二步是根据区域内环境问题的特点(如主要是大气污染还是水体污染)确定进一步调查的对象,进行深入调查;最后是整理调查资料,写出调查报告和建立污染源档案。普查的主要内容是污染源的名称、位置、污染物名称、排放量、排放强度、排放方式、排污去向(排向大气、水体等)和排放规律(定时集中排放、连续均匀排放等)。进一步调查的内容因污染源而异。例如工业污染源的调查项目有:主要产品种类、产量、总产值、利润、职工人数、原材料种类、原材料(包括燃料、原料和水等)消耗总量和定额、生产工艺过程、主要设备和装置、排污情况、治理现状和计划等。生活污染源的调查项目有:人口、上下水道状况、燃料构成和消耗量、每人每日的排污量等等。在污染源调查报告中除了综述一般情况外,应提出治理方法的建议。污染源档案主要是以统计表格和图式记录下来的各个污染源的基本情况。
搞好调查应当做到:
(1)把污染源、环境和人群健康作为一个体系来考虑。不仅要注意污染物的排放量和特点,而且要注意污染途径和对人体健康的影响,还要考虑环境经济问题。
(2)保证调查所得资料的可靠性和数据的准确性。为使所得材料具有可比性,必须按统一要求搜集资料和数据,并统一监测、估算方法和数据处理方法。
评价方法
在完成污染源调查之后,为了评价不同污染源的危害程度,确定主要污染源和主要污染物,应注意选择合适的评价标准。为了使评价结果尽可能地反映实际情况,可以从不同角度选用几个评价标准,作出几组评价,再从几组评价的综合分析中得出评价结论。另一方面,必须有一个比较各类污染源性质的共同指标,即对污染物和污染源进行标化计算。
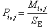
标化计算方法随评价要求而异,以计算等标排污量为例:首先对i个污染源,先计算各污染物的等标排放量Pi,j。
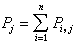
式中Mi,j为污染源i第j种污染物排放量(吨/年),(i=1,…,n),(j=1,…,m);SE为选用的评价标准。再计算污染源i的等标排放量Pi。
(i=1,…,n)
再计算整个调查区域的等标排放量PT。
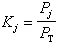
最后计算每个污染源的等标排放量Pi与PT的比值Ki。
(i=1,…,n)
将Ki按数值由大到小依次排列,Ki值最大的为主要污染源(或Ki值较大的几个为主要污染源)。如要确定某区域内的主要污染物,则可再计算全区域内某种污染物的等标排放量Pj。
再求出每个污染物的等标排放量Pj与PT的比值Kj。
同样,把Kj按数值大小排列,Kj值最大的或较大的几个即为该区域的主要污染物。这种方法称为等标排放量的评价计算法。目前只用于状态相同的污染物,即只能分别进行废水、废气、废渣和噪声等污染源的评价。至今还没有一个可以把各种污染源综合在一起计算和评价的成熟方法。
调查和评价计算结果都应列入污染源评价报告书。