[拼音]:jingji zengzhang sudu fangcheng
[外文]:incremental rate equation
描述产出增长速度与投入要素(资金、劳力等)增长速度和技术进步速度之间关系的经济数学模型,简称增长速度方程。它是从各经济变量相对变化的角度来研究经济增长和技术进步之间的关系的。美国经济学家R.M.斯诺首先提出的增长速度方程为:
式中y是产出的增长速度,a是技术进步速度,k是资金投入的增长速度,l是劳力投入的增长速度,α是资金产出的弹性系数,β是劳力产出的弹性系数。由于y、k、l的值可从历史统计资料的分析中得到,所以只要估计出参数α和β的值,即可算出技术进步速度a=y-αk-βl。国际上一般取α=0.2~0.4,β=0.8~0.6。中国根据国家计委的测算可取α=0.2~0.3,β=0.8~0.7。
在应用增长速度方程时可应用水平法根据统计资料算出某一时期的 y、k、l的值:
,
,
。式中Yt、Kt、Lt和Y0、K0、L0分别是测算年t和基年t0(这里设t0=0)的产出量、资金和劳动量。产出量可根据要求采用总产值、净产值、国民收入或销售产值。劳动量指工作中的有效劳动时间,因无统计资料,可用劳动力人数。资金可按固定资产原值期末数加定额流动资金年平均余额确定,在宏观分析时一般可以不加。
根据增长速度方程可以算出以下三项重要指标。
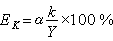
(1)技术进步对产值增长速度的贡献
,资金对产值增长速度的贡献
,劳力对产值增长速度的贡献
。
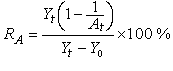
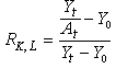
(2)技术进步对新增产值的贡献
,资金和劳力对新增产值的贡献
。这里取基年t0的技术水平A0=1,At是测算年t的技术水平,Y0是基年的产出,Yt是测算年t的产出。
(3)技术水平。设基年t0的技术水平A0=1,则测算年t的技术水平At=(1+a)t,式中a是技术进步速度。