[Æ´Òô]£ºdianci celiang wucha
[ÍâÎÄ]£ºerror in electromagnetic measurement
µç´ÅÁ¿µÄ²âÁ¿ÖµÓëÆäÕæÖµÖ®²î¡£Óֳƾø¶ÔÎó²î¡£¾ø¶ÔÎó²îÓë±»²âÁ¿ÕæÖµÖ®±È³ÆÏà¶ÔÎó²î¡£µç´Å²âÁ¿ÒDZíµÄ²âÁ¿Îó²îÓëÒDZíÁ¿³ÌµÄÉÏÏÞÖµÖ®±ÈΪÒDZíµÄÒýÓÃÎó²î£¬ÓÃÓÚ±íÕ÷´ËÒDZíµÄ׼ȷ¶È¼¶±ð¡£
ÔÚµç´Å²âÁ¿ÖУ¬ÓÉÓÚÈËÃǵÄÈÏʶÓë¿Í¹ÛÊÂÎï¼ä´æÔÚ²îÒ죬Îó²îÊDz»¿É±ÜÃâµÄ¡£²âÁ¿Îó²îÖ÷ÒªÀ´Ô´ÓÚÒÔÏÂÒòËØ£º
£¨1£©ÒÇÆ÷µÄÖÆÔì¡¢°²×°¡¢µ÷ÕûµÈ²»ÍêÈ«·ûºÏÒªÇó£»
£¨2£©²âÁ¿Ìõ¼þ(Èçζȡ¢Íâ½çµç´Å³¡¡¢½»Á÷µç²¨ÐÎºÍÆµÂʵÈ)δÄÜÂú×ãÉèÏëµÄ²âÁ¿ÒªÇó£»
£¨3£©²Ù×÷ÈËÔ±²Ù×÷²»µ±£¨Èç¶ÁÊý²»×¼£¬¶ÁÊý·½·¨²»µ±µÈ£©£»
£¨4£©²âÁ¿·½·¨²»ÍêÉÆ¡£Ëæ×Å¿ÆÑ§¼¼ÊõµÄ·¢Õ¹£¬Ò»Ð©Îó²î¿ÉÒÔÏû³ý»ò¼õС£¬µ«Ð·¢ÏÖµÄÎó²îÓÖ»á³ÉΪÑо¿¶ÔÏó¡£18ÊÀ¼ÍÄ©µÂ¹ú¿ÆÑ§¼ÒC.F.¸ß˹ÒýÈëÎó²îµÄÕý̬·Ö²¼£¬Ê¹Îó²îÀíÂÛµÄÑо¿³ÉΪһÃÅ¿ÆÑ§¡£20ÊÀ¼Í³õ£¬Ð¡Ñù±¾·Ö²¼µÄÑо¿£¬Ê¹Îó²îÀíÂÛ½øÈëʵ¼ÊÓ¦ÓÃÁìÓò¡£µç´Å²âÁ¿ÖеÄÎó²îÑо¿¿ÉÓÃÓÚÕýÈ·´¦ÀíÊý¾Ý£¬Ç¡µ±µØÆÀ¶¨²âÁ¿½á¹û£¬ºÏÀíÑ¡Ôñµç´Å²âÁ¿ÒÇÆ÷£¬Òò¶øÔÚµç´Å²âÁ¿ÖÐÕ¼ÓÐÖØÒªµØÎ»¡£
Îó²î·ÖÀàºÍÌØÐÔÎó²î°´ÐÔÖʿɷÖΪϵͳÎó²î¡¢Å¼È»Îó²îºÍÊèʧÎó²î¡£ÏµÍ³Îó²îÖ¸¹Ì¶¨²»±äµÄ»ò·þ´Óijһȷ¶¨¹æÂɵÄÎó²î¡£¼õÉÙϵͳÎó²îµÄ°ì·¨ÓУº
£¨1£©¸ÄÉÆÊµÑéÉè¼Æ£¬¸Ä½øÊµÑéÉ豸ºÍÌõ¼þ£¬²ÉÓÃÉè¼ÆºÃµÄÓÅ»¯²Ù×÷²½Ö裻
£¨2£©ÓÃÊý¾Ý´¦Àí·½·¨ÒýÈëÐÞÕýÖµÐÞÕýÎó²î¡£Å¼È»Îó²îÖ¸µ¥´Î²âÁ¿Ê±Îó²î¿É´ó¿ÉС¡¢¿ÉÕý¿É¸º£¬¾¶à´Î²âÁ¿ºóÎó²îµÄƽ¾ùÖµÇ÷ÓÚÁãµÄÎó²î¡£Å¼È»Îó²îÒ»°ã·þ´ÓÕý̬·Ö²¼£¬¾ßÓÐÒÔÏÂ4¸öÌØÐÔ£º
£¨1£©µ¥·åÐÔ¡£¾ø¶ÔֵСµÄÎó²î³öÏֵĸÅÂʱȾø¶ÔÖµ´óµÄÎó²î³öÏֵĸÅÂÊ´ó¡£
£¨2£©¶Ô³ÆÐÔ¡£¾ø¶ÔÖµÏàµÈµÄÕýÎó²îºÍ¸ºÎó²î³öÏֵĸÅÂÊÏàµÈ¡£
£¨3£©ÓнçÐÔ¡£ÔÚÒ»¶¨µÄ²âÁ¿Ìõ¼þÏ£¬Îó²îµÄ¾ø¶Ôֵʵ¼ÊÉϲ»³¬¹ýÒ»¶¨½çÏÞ¡£
£¨4£©µÖ³¥ÐÔ¡£Îó²îµÄËãÊõƽ¾ùÖµËæ²âÁ¿´ÎÊýÔö¶àÇ÷ÓÚÁ㡣ΪÁ˼õÉÙżȻÎó²î£¬¿ÉÒÔÔö¼Ó²âÁ¿´ÎÊý£¬È¡¶à´Î²âÁ¿µÄƽ¾ùÖµ×÷Ϊ²âÁ¿½á¹û£»Ò²¿ÉÒÔÓÃ×îС¶þ³Ë·¨´¦Àí²âÁ¿Êý¾Ý¡£ÊèʧÎó²îÖ¸²âÁ¿ÈËÔ±ÔÚ²Ù×÷ÖУ¬ÓÉÓÚÊèºöºÍʧÎó¶øÒýÆðµÄÎó²î¡£¼õÉÙ´ËÏîÎó²îÒÀ¿¿Ìá¸ß²âÁ¿ÈËÔ±µÄËØÖʺͲÙ×÷µÄ¹æ·¶»¯¡£ÔÚ´¦Àí²âÁ¿Êý¾Ýʱ£¬Ò²¿Éͨ¹ýÊýѧ·½·¨½«ÓдËÖÖÎó²îµÄÊý¾ÝÓèÒÔÌÞ³ý¡£
ÁíÍ⣬ÔÚµç´Å²âÁ¿Öл¹Óлù±¾Îó²îºÍ¸½¼ÓÎó²î¡£Ç°ÕßÖ¸Ôڹ涨Ìõ¼þϽøÐвâÁ¿Ê±£¬ÒòÒÇ±í±¾Éí½á¹¹ºÍÖÆ×÷²»ÍêÉÆÒýÆðµÄÎó²î£¨Èç»î¶¯²¿·ÖÒòÖá³ÐµÄĦ²ÁÒÔ¼°¿Ì¶È»®·Ö²»×¼µÈÒýÆðµÄ£©£»ºóÕßÖ¸ÔÚ·ÇÕý³£¹¤×÷Ìõ¼þϽøÐвâÁ¿Ê±ÒýÆðµÄÎó²î¡£¿Éͨ¹ý¸Ä½øÒDZí½á¹¹ºÍ¸ÄÉÆ²âÁ¿Ìõ¼þÀ´Ïû³ýÕâÁ½ÖÖÎó²î¡£
ÔÚÏÖ´úµçÁ¦ÏµÍ³ÖУ¬¸´Ôӵĵ÷¿ØÏµÍ³Òѽ«¾ßÓвâÁ¿¹¦Äܵļì²âÔª¼þÓë¾ßÓе÷¿Ø¹¦ÄܵÄÖ´ÐÐÔª¼þÈÚΪһÌå¡£ÔÚÕâÖÖϵͳÖУ¬¼ì²âµÃµ½µÄÐźÅÔÚ´«µÝ¹ý³ÌÖбØÈ»»á²úÉúÖͺó¡£Öͺó¹ý³ÌÓ°Ïìµ÷¿ØµÄÖ´ÐУ¬´Ó¹ãÒåÉϽ²£¬ÕâÒ²ÊÇÒ»ÖÖ²âÁ¿Îó²î¡£´ËÍ⣬¸´Ôӵĵ÷¿ØÏµÍ³»¹»á²úÉúÊý×ÖÁ¿»¯Îó²î¡£Í¨³£¿Éͨ¹ýÖͺó¹ý³ÌµÄÔ¤¹ÀºÍ¿ØÖƼ¼Êõ½øÐмì²âÔª¼þ³ÙºóµÄÔ¤²âºÍ¿ØÖÆ£¬ÒÔ´ïµ½Ï÷¼õÖͺóµÄÄ¿µÄ¡£
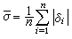
Îó²îµÄ±íÊöÔÚͬһÌõ¼þϽøÐÐn´Î²âÁ¿Ê±£¬¸÷´ÎµÄÎó²îδ1£¬δ2£¬¡£¬δn²»Ïàͬ¡£Îª±íÊö¸ÃÌõ¼þϵÄÎó²îÖµ£¬Òý½øÁËÈçϼ¸ÖÖ±í´ï·½·¨¡£
£¨1£©±ê×¼²î£º¡¡¡¡
£¨2£©Æ½¾ùÎó²î£º¡¡ 
£¨3£©»òÈ»Îó²î£ºδi¾ø¶ÔÖµ´ÓСµ½´óÅÅÁеľÓÖÐÕß¡£
£¨4£©¼«ÏÞÎó²î£ºδi¾ø¶Ôֵʵ¼Ê²»³¬¹ýµÄ½çÏÞ¡£
20ÊÀ¼Í60Äê´úÒÔÀ´£¬Îó²îÑо¿ÖÐÒýÈëÁ˲»È·¶¨¶È¸ÅÄָµÄÊDzâÁ¿½á¹û¸½½ü°üº¬ÕæÖµµÄÒ»¸ö·¶Î§£¬ÓÃÒÔÆÀ¶¨ÕæÖµµÄ»î¶¯ÇøÓò¡£ÒòΪʵ¼Ê¹¤×÷ÖвâÁ¿½á¹ûÊÇ¿ÉÒԵõ½µÄ£¬Æä²»È·¶¨¶ÈµÄ±íÕ÷Öµ£¨±ê×¼²î»òÆä±ê×¼²îµÄn±¶£©¿ÉÒԵóö£¬ËùÒÔ£¬²»È·¶¨¶ÈÊÇ¿ÉÒÔÕÆÎյġ£Îó²î¶¨ÒåÖн²µÄÕæÖµ³£³£ºÜÄѵõ½£¬Òò´ËÎó²îÒ²ºÜÄѵõ½¡£Êµ¼Ê²âÁ¿½á¹ûµÄÎó²î³£³£ÊÇÖ¸²âÁ¿½á¹ûµÄ²»È·¶¨¶È¡£²»È·¶¨¶È¾ßÓиüʵ¼ÊµÄÒâÒå¡£