[拼音]:juyou zhengli
[外文]:oil-repellent finishing
用拒油整理剂处理织物,在纤维上形成拒油表面的整理工艺过程。整理后织物的拒油表面张力低于各种油类的表面张力,使油在织物上成珠状而不易透入织物,从而产生拒油效果。经过拒油整理的织物,兼能拒水,并有良好的透气性。主要用于高级雨衣和特种服用材料。
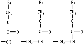
拒油整理剂一般为含有全氟烷基侧链的聚合物。下式所示的聚丙烯酸酯是一种良好的拒油整理剂。
Rf=F3C(CF2)6~7,通常是7个或8个碳原子的全氟长链烷基,在纤维表面定向排列,使纤维具有拒油性,还可以通过磺酰胺等基团和丙烯酸相联。为了改善应用性能和降低成本,拒油整理剂一般是由含全氟烷基的单体和一定量的丙烯酸酯等单体共聚制成。商品大多为乳浊液,其中加有各种助剂以适应各种织物的需要。整理的一般工艺是将配制的拒油整理剂乳浊液浸轧织物,烘干后在150℃左右焙烘3~4分钟,使其固着在纤维上,然后水洗。拒油整理剂可与多羟甲基三聚氰胺混用,能提高耐洗性,也可与拒水剂(见拒水整理)混用,以提高拒水性能。
拒油整理效果的测试是以具有不同表面张力的正烷烃液体作为标准试液,分别滴在拒油整理后的织物上。根据成珠滴情况评定织物的拒油性能。表面张力小的试液能在织物上形成珠滴,即表明织物的拒油性能较好。