[拼音]:huanyuan
[外文]:reduction
无机物分子中的原子、离子增加负电荷(或减少化合价);或者有机物分子中增加氢原子、减少氧原子的反应过程。前者又称氧化-还原反应;后者可分为加氢还原(即加氢)和化学还原两大类。加氢常常要用催化剂并在压力下进行,对设备和安全技术要求较高。因此,尽管它经济合理、三废少,但对于许多小批量生产的精细化工来说,为了简化工艺,提高选择性,常使用各种化学还原法。除了用铁粉还原以外,其他化学还原都可在一般的反应器内进行。铁粉还原要用具有耐酸砖衬里的平底钢锅,内装有耙式搅拌器。搅拌器是用耐腐蚀和耐磨损的硅铁或球墨铸铁制成的。
化学还原所用的还原剂主要有:
铁粉铁粉是弱还原剂,在含有盐类电解质(亚铁盐、氯化铵等)的水介质中,可使硝基、亚硝基还原为氨基,而卤素、羰基、烯基等不被还原。铁粉还原广泛用于从芳香族硝基化合物制芳伯胺:
4Ar—NO2+9Fe+4H2O─→4Ar—NH2+3Fe3O4铁粉还原虽然工艺简单,但生成含胺废铁泥和含胺废水,需要处理。
锌粉在酸性介质中,锌粉是强还原剂,可用于还原硝基、亚硝基、氰基、羰基等多种官能团。但锌粉价格较贵,其使用受到限制。工业上用于从2-甲基-1,4-萘醌制维生素K4等过程:
在强碱性介质中,锌粉可使芳香族硝基化合物还原为氢化偶氮化合物。后者在强酸性介质中可发生分子重排,生成联苯胺系化合物。联苯胺有致癌作用,已停止生产。但3,3′-二氯联苯胺未发现有致癌作用,故仍在以邻硝基氯苯为原料继续生产。
硫化碱包括硫化钠、多硫化钠和硫氢化钠等,是温和还原剂,主要用于使芳香族硝基化合物还原为芳伯胺。
4Ar—NO2+6Na2S+7H2O
─→4Ar—NH2+3Na2O3+6NaOH
硫化碱还原剂的另一特点是可以使多硝基化合物部分还原,如间二硝基苯部分还原,可得间硝基苯胺,还可使硝基偶氮化合物部分还原为氨基偶氮化合物。
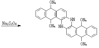
连二亚硫酸钠俗称保险粉,是在碱性介质中使用的强还原剂,但价格较贵,主要用于染色,将还原染料还原为隐色体等。

是一种温和还原剂,主要用于将芳伯胺的重氮盐,还原为芳肼等过程。
从反应步骤来看,它实际上是磺化-水解过程。
在精细化工中用到的其他化学还原剂还有锡、氯化亚锡、水合肼、甲酸、甲脒亚磺酸、甲酸- 叔胺加合物以及碱金属阳离子与硼(或铝)复氢阴离子形成的复氢化合物。