Ñï³Ì

±ÃÊäË͵ĵ¥Î»ÖÊÁ¿ÒºÌå´Ó±ÃµÄÈë¿ÚÖÁ³ö¿ÚËù»ñµÃµÄÄÜÁ¿ÔöÁ¿¡£Ñï³ÌÒÔÊäËÍÒºÌåµÄÒºÖù¸ß¶È(Ã×)±íʾ¡£Ñï³ÌÊDZõÄÖ÷ÒªÐÔÄܲÎÊýÖ®Ò»£¬Ñï³ÌÒ»°ãͨ¹ýÊÔÑé²âµÃ¡£ÊÔÑéʱ±ÃÑï³ÌH°´ÏÂʽ¼ÆËã

¹«Ê½ ·ûºÅ

ʽÖÐ p2ºÍ p1·Ö±ðΪ±ÃµÄ³ö¿Ú·¨À¼ºÍÈë¿Ú·¨À¼´¦µÄѹÁ¦£¨ÅÁ£©£»v2ºÍv1·Ö±ðΪ±ÃµÄ³ö¿Ú´¦ºÍÈë¿Ú´¦ÒºÌåµÄƽ¾ùÁ÷ËÙ£¨Ã×£¯Ã룩£» ¦ÁΪ±ÃµÄ³ö¿Ú·¨À¼ºÍÈë¿Ú·¨À¼Ö®¼äµÄ¸ß²î£¨Ã×£©£¬³ö¿Ú·¨À¼¸ßÓÚÈë¿Ú·¨À¼Ê± ¦ÁֵΪÕý£¬·´Ö®Îª¸º£»¹«Ê½ ·ûºÅΪËùÊäËÍÒºÌåµÄÃܶÈ(ǧ¿Ë£¯Ã×3)£»g Ϊ×ÔÓÉÂäÌå¼ÓËÙ¶È£¬¿ÉÈ¡ 9.81Ã×/Ãë2(¼ûͼ)¡£±ÃµÄÑï³ÌÓëËùÊäËÍÒºÌåµÄÃܶÈÎ޹أ¬Ãܶȸıäʱ£¬Ñ¹Á¦ÒàËæÖ®¸Ä±ä£¬¶ø±£³ÖÑï³Ì²»±ä£»µ«Ñï³ÌÓëÒºÌåµÄÕ³¶ÈÓйأ¬ÊäËÍÕ³¶È´óµÄÒºÌåʱ£¬´ïµ½µÄÑï³ÌµÍ¡£±ÃµÄѹÁ¦ÓëÃܶÈÓйأ¬Í¬ÑùÑï³ÌµÄ±Ã£¬ÊäËÍÃܶÈСµÄÒºÌå´ïµ½µÄѹÁ¦µÍ¡£¶Ô¶¯Á¦Ê½±Ã£¬Ñï³ÌËæÁ÷Á¿¶ø±ä£¬Æä¹ØÏµÇúÏß³ÆÎªÑï³Ì-Á÷Á¿ÇúÏß(¼û±Ã)¡£Êµ¼ÊʹÓñÃʱ£¬Êǽ«±ÃÓëÎüÈëÈÝÆ÷¡¢ÅųöÈÝÆ÷ºÍ¹Ü·Á¬½ÓÔÚÒ»Æð£¬ËüÃÇ×é³É±Ã×°ÖÃϵͳ¡£´ËʱÑï³Ì¿É°´ÁíÍ⹫ʽ¼ÆËã

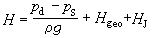
¹«Ê½ ·ûºÅ

ʽÖÐpdºÍpS·Ö±ðΪ±ÃµÄÅųöÈÝÆ÷ºÍÎüÈëÈÝÆ÷Öеľ²ÒºÃæÑ¹Á¦(ÅÁ);¹«Ê½ ·ûºÅΪÅųöÈÝÆ÷ºÍÎüÈëÈÝÆ÷µÄ¾²ÒºÃæÎ»²î(Ã×)£»HgeoΪµ¥Î»ÖØÁ¿ÊäËÍÒºÌåÔÚÎüÈë¹Ü·ºÍÅųö¹Ü·ÖеÄÄÜÁ¿Ëðʧ£¨Ã×£©¡£Èç¹ûÎüÈëÈÝÆ÷ºÍÅųöÈÝÆ÷¶¼Êdz¨¿ªµÄ£¬ÔòH=H¹«Ê½ ·ûºÅ+Hgeo¡£ÕâÑùËãµÃµÄÑï³ÌÓֽбÃ×°ÖÃÑï³Ì¡£ËüÊÇΪÁ˱£³Ö´Ó±Ã×°ÖÃÈë¿ÚÖÁ³ö¿ÚÐèÒªµÄÁ÷Á¿¶ø±ØÐëÓɱô«µÝ¸øµ¥Î»ÖÊÁ¿ÊäËÍÒºÌåµÄÓÐЧÄÜÁ¿£¨²»ÊÇÈ«²¿ÄÜÁ¿£¬Ëü²»°üÀ¨ÏûºÄÔÚ±ÃÄÚ²¿µÄÄÜÁ¿Ëðʧ£©¡£ÕâÒ»ÄÜÁ¿ÓÃÀ´Ìá¸ßÒºÌåµÄѹÁ¦ÄÜ¡¢Î»ÄܺͿ˷þ¹Ü·×èÁ¦Ëðʧ¡£±Ã¹¤×÷ʱ£¬±ÃÑï³ÌÓë±Ã×°ÖÃÑï³ÌÏàµÈ¡£ÎªÊ¹±ÃÄÜÒÔ×î¸ßЧÂÊÔËת£¬ÔÚÉè¼Æ±ÃʱӦµ±°ÑÒªÇóµÄ±Ã×°ÖÃÑï³Ì¶¨Îª±ÃµÄÉè¼ÆÑï³Ì£¨¸ÃÑï³Ì¿Éͨ¹ý¶Ô±Ã¹¤×÷Ôª¼þµÄË®Á¦Éè¼ÆÓèÒÔ±£Ö¤²¢ÎªÊÔÑéËù֤ʵ£©£¬·´¹ýÀ´£¬Ñ¡ÓñÃʱҲӦµ±Ê¹Á½ÕßÏà·û¡£¾ÍÒ»¶¨µÄ±Ã×°ÖÃÀ´Ëµ£¬×°ÖÃÑï³ÌµÄÈκθı䣨ÀýÈçÄÜÁ¿Ëðʧ±ä»¯£©¶¼»áʹ±Ã¹¤×÷µãÑØÑï³Ì-Á÷Á¿ÇúÏßÒÆ¶¯£¬³¬³öÒ»¶¨·¶Î§ºó±Ã¼´²»ÄÜÕý³£¹¤×÷¡£ÔÚÓеÄÇé¿öÏ£¬Ò²ÓñÈÄÜÕâÒ»¸ÅÄî´úÌæÑï³Ì£¬ËüÊǵ¥Î»ÖÊÁ¿ÊäËÍÒºÌåµÄÄÜÁ¿ÔöÁ¿£¬±ÈÄÜY=gH£¬µ¥Î»Êǽ¹£¯Ç§¿Ë¡£

ͼ