快速傅里叶变换

计算离散傅里叶变换的一种快速算法,简称FFT。快速傅里叶变换是1965年由J.W.库利和T.W.图基提出的。采用这种算法能使计算机计算离散傅里叶变换所需要的乘法次数大为减少,特别是被变换的抽样点数N越多,FFT算法计算量的节省就越显著。

当用数字计算机计算信号序列x(n)的离散傅里叶变换时,它的正变换

公式 符号  (1)

反变换(IDFT)是

公式 符号 (2)

式中公式 符号x(n)和X(k)可以是实数或复数。由上式可见,要计算一个抽样序列就需要做N次复数乘法运算及N-1次复数加法运算。

计算离散傅里叶变换的快速方法,有按时间抽取的FFT算法和按频率抽取的FFT算法。前者是将时域信号序列按偶奇分排,后者是将频域信号序列按偶奇分排。它们都借助于公式 符号的两个特点:一是公式 符号的周期性;另一是公式 符号的对称性,这里符号*代表其共轭。这样,便可以把离散傅里叶变换的计算分成若干步进行,计算效率大为提高。

时间抽取算法

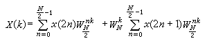
令信号序列的长度为N=2M,其中M是正整数,可以将时域信号序列x(n)分解成两部分,一是偶数部分x(2n),另一是奇数部分x(2n+1),其中公式 符号。于是信号序列x(n)的离散傅里叶变换可以用两个 N/2抽样点的离散傅里叶变换来表示和计算。考虑到公式 符号和离散傅里叶变换的周期性,式(1)可以写成

公式 符号

公式 符号(3)

其中

公式 符号(4a)

公式 符号(4b)

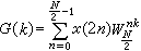
由此可见,式(4)是两个只含有N/2个点的离散傅里叶变换,G(k)仅包括原信号序列中的偶数点序列,H(k)则仅包括它的奇数点序列。虽然k=0,1,2,…,N-1,但是G(k)和H(k)的周期都是N/2,它们的数值以N/2周期重复。

因为公式 符号于是由式(3)和式(4)得到

公式 符号   (5a)

公式 符号

公式 符号   (5b)

因此,一个抽样点数为N 的信号序列 x(n)的离散傅里叶变换,可以由两个 N/2抽样点序列的离散傅里叶变换求出。依此类推,这种按时间抽取算法是将输入信号序列分成越来越小的子序列进行离散傅里叶变换计算,最后合成为N点的离散傅里叶变换。

图

通常用图1中蝶形算法的信号流图来表示式(5)的离散傅里叶变换运算。例如,N=8=23的抽样点的信号序列x(n)的离散傅里叶变换,可用如图2所示的FET算法的信号流图来计算。由图可知

(1)N=2M点的离散傅里叶变换的计算全由蝶形运算组成,需要M级运算,每级包括N/2个蝶形运算,总共有公式 符号 个蝶形运算。所以,总的计算量为公式 符号次复数乘法运算和N log2N次复数加法运算。

图

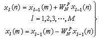
(2)FFT算法按级迭代进行,计算公式可以写成

公式 符号    (6)

N抽样点的输入信号具有N个原始数据x0(n),经第一级运算后,得出新的N个数据x1(n),再经过第二级迭代运算,又得到另外N个数据x2(n),依此类推,直至最后的结果x公式 符号(k)=xM(k)=X(k)在逐级迭代计算中,每个蝶形运算的输出数据存放在原来存贮输入数据的单元中,实行所谓“即位计算”,这样可以节省大量存放中间数据的寄存器。

(3)蝶形运算中加权系数公式 符号随迭代级数成倍增加。由图2可以看出系数公式 符号的变化规律。对于N=8,M=3情况,需进行三级迭代运算。在第一级迭代中,只用到一种加权系数公式 符号;蝶形运算的跨度间隔等于1。在第二级迭代中,用到两种加权系数即公式 符号公式 符号;蝶形运算的跨度间隔等于2。在第三级迭代中,用到4种不同的加权系数即公式 符号公式 符号公式 符号公式 符号;蝶形运算的跨度间隔等于4。可见,每级迭代的不同加权系数的数目比前一级迭代增加一倍;跨度间隔也增大一倍。

(4)输入数据序列x(n)需重新排列为x(0)、x(4)、x(2)、x(6)、x(1)、x(5)、x(3)、x(7),这是按照二进制数的码位倒置所得到的反序数,例如N=8中数“1”的二进制数为“001”,将其码位倒转变为“100”,即为十进制数“4”。

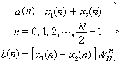
频率抽取算法

按频率抽取的 FFT算法是将频域信号序列X(k)分解为奇偶两部分,但算法仍是由时域信号序列开始逐级运算,同样是把 N点分成N/2点计算FFT,可以把直接计算离散傅里叶变换所需的N2次乘法缩减到公式 符号次。

N=2公式 符号的情况下,把N点输入序列x(n)分成前后两半

公式 符号 (7)

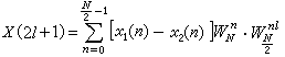
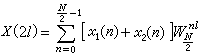
时间序列x1(nx2(n)的长度为N/2, 于是N点的离散傅里叶变换可以写成

公式 符号 (8a)

公式 符号 (8b)

频率信号序列X(2l)是时间信号序列x1(n)+x2(n)的N/2点离散傅里叶变换,频率信号序列X(2l+1)是时间信号序列[x1(n)-x2(n)]公式 符号N/2点离散傅里叶变换,因此,N点离散傅里叶变换的计算,通过两次加(减)法和一次乘法,从原来序列获得两个子序列,所以,频率抽取算法也具有蝶形运算形式。以2为基数的FFT基本蝶形运算公式为

公式 符号 (9)

其计算量完全和时间抽取算法一样,即只需 公式 符号次乘法运算和Nlog2N次加(减)法运算。图3 表示N=8=23点的离散傅里叶变换的信号流图。由图可见,它以三级迭代进行即位计算,输入数据是按自然次序存放,使用的系数也是按自然次序,而最后结果则以二进制反序存放。

图

实际上,频率抽取算法与时间抽取算法的信号流图之间存在着转置关系,如将流图适当变形,可以得出多种几何形状。

除了基2的FFT算法之外,还有基4、基8等高基数的FFT算法以及任意数为基数的FFT算法。

参考书目
  1. 何振亚著:《数字信号处理的理论与应用》下册,人民邮电出版社,北京,1983。
  2. E.O.布里汉著,柳群译:《快速傅里叶变换》,上海科学技术出版社,1979。(E. O. Brigham, The Fast Fourier Transform,Prentice Hall,Englewood Cliffs,New Jersey,1974.)