[拼音]:Nawei-Situokesi fangcheng
[外文]:Navier-Stokes equation
对牛顿流体(见流体力学)微团应用牛顿第二定律所得到的流体运动微分方程,是流体动力学基本方程之一。这一方程是1827年由法国工程师C.L.M.H.纳维首先提出的,1845年由英国物理学家G.G.斯托克斯加以完善,简称 N-S方程,是粘性不可压缩流体动力学的基础。
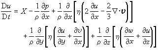
具体形式直角坐标系中,N-S 方程的具体形式为
式中u、v、w分别为速度
在x、y、z方向的分量;X、Y、Z分别为外部作用于单位质量流体的体积力沿x、y、z方向的分量;p为压力;
为密度;η为动力粘度;
,其中t为时间;
。
在不可压缩流体(变形率为零,即
为常数)的流动过程中,温度变化通常不大,可假定 η为常数,这时N-S方程的形式为
式中
,称为运动粘度;
。
N-S方程的物理意义是:单位质量流体微团的加速度,等于它所受到的体积力、表面上作用的压力与粘性应力之和。
应用对于极少数非常简单的流动,如圆管、平行板内的层流流动等,N-S方程有解析解。20世纪60年代以来,随着电子计算机和数值计算技术的发展,已用N-S方程求解了许多工程问题,如透平机械叶片通道内的流动等。N-S方程有两种近似求解途径,当雷诺数很大时,N-S方程简化为边界层方程(见边界层理论);当雷诺数很小时,由N-S方程可建立极慢流动理论,广泛用于轴承润滑、两相流动、渗流等问题。