[拼音]:relixue di-yi dinglü
[外文]:first law of thermodynamics
热力学的基本定律之一,是能量守恒和转换定律的一种表述方式。热力学第一定律指出,热能可以从一个物体传递给另一个物体,也可以与机械能或其他能量相互转换,在传递和转换过程中,能量的总值不变。它的另一种表述方式为:不消耗能量就可以作功的“第一类永动机”是不可能实现的。
18世纪以来,流行一时的“热质说”相继为 Count von朗福德、J.R.von迈尔、J.P.焦耳等人所推翻。他们证明热是物质运动的一种表现,并逐步归纳成第一定律的表述方式。其中焦耳于1840~1850年进行的热功当量实验为这一定律的科学表述奠定了基础。焦耳的实验表明,机械能所作的功W与其转换得到的热量Q之间存在着严格的数量关系,不管转换的过程如何,一个单位的热量永远相当于E个单位的功,即W=EQ,式中E称为热功当量。在国际单位制(SI)中,热量和功的单位都是焦耳(J),所以E=1。
对于封闭系统(见热力系统),热力学第一定律可表达为
Q=ΔU +W或 δQ=dU +δW它表明向系统输入的热量Q,等于系统内能的增量ΔU 和系统对外界作功W之和。
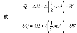
在热工设备中经常遇到工质稳定地流入和流出设备的开口系统(见图)的情形。这时,热力学第一定律可表达为
它表明向系统输入的热量 Q,等于质量为 m的流体流经系统前后焓H 的增量、动能
的增量以及系统向外界输出的机械功W之和。