毛发化妆品

用于清洁、保护头皮和头发,并使头发美观的化妆品。又称护发化妆品。男子剃须用品亦属毛发化妆品。

头发由毛干(皮肤外部的部分)和毛根(皮肤内部的部分)组成。头皮是被毛干覆盖的,它分泌的汗液和皮脂较多。头皮屑中除含脱落的角质层外,还有汗液干燥后的残余物和皮脂。此外,头发整形用化妆品常有残留物,外来的尘土和细菌等也很容易粘附在头发上。因此毛发化妆品的首要功能是洗净头皮和头发,使头发柔软,保持光泽,去除静电使之便于梳理,并赋予头部清凉感和一定的芳香,刺激头皮,止痒,滋养毛根以改善头皮的血液循环,增强皮肤机能,保护头发、头皮不受细菌等微生物侵害。此外,头发的整形、卷曲(烫发)以及在剃须时使胡须软化,防止剃须引起的皮肤皲裂等也是毛发化妆品的重要功能。

毛发化妆品按其功能分为香波、漂洗剂、营养发水、整发用品、烫发剂、剃须膏等。

香波

一种清洗剂。包括洗发香波、洗浴香波和地毯香波等。由于洗发香波数量大,因此香波一般就是指洗发香波。其功能主要是洗净头皮和头发上的污垢,因此在配方和制造上着重考虑其去污作用。但也要求不过多地去掉自然的皮脂以免损害头发的光泽;由于洗发时洗液不可避免地要与眼部接触,因此要求对眼部的刺激小。香波的形态有粉状、块状、液状、膏状等多种,以液状为主。

香波的主要成分是表面活性剂,起去污和发泡的作用。主要的表面活性剂有:

(1)肥皂:粉状和块状制品一般使用钠皂,液状制品则常使用钾皂和三乙醇胺皂。但由于肥皂在硬水中不稳定,在香波配方中使用时,可加入钙皂分散剂,以防肥皂在硬水中沉淀。

(2)脂肪醇硫酸盐和乙氧基化脂肪醇硫酸盐:所用的脂肪醇的碳原子数为 12~14。乙氧基化所用的环氧乙烷摩尔数为3。一般制成钠盐,也有胺盐或三乙醇胺盐。这类表面活性剂在硬水中稳定,去污力良好,在香波中的使用十分普遍。尤其是乙氧基化脂肪醇三乙醇胺盐,由于是中性的,而且对头皮和眼睛的刺激性小,被广泛用于很多高级香波产品中。

(3)两性表面活性剂:如咪唑啉衍生物。这类表面活性剂的成本较高,使用尚不普遍。但由于对眼部的刺激最小,适于制作婴儿用的香波。除了上述主要表面活性剂外,香波中常配有一些辅助表面活性剂,如脂肪酸醇酰胺和氧化胺等,用以促进起泡并使泡沫稳定和增加粘度。

香波中的添加剂包括:

(1)过脂剂:有角鲨烷、液体石蜡、橄榄油、羊毛脂衍生物、缩水山梨醇脂肪酸酯等,使头发在清洗后能改善光泽;

(2)粘度调整剂:有氧化胺、某些氯化物等,加入后能使粘度升高,洗发时用水施用较为方便;

(3)保湿剂:有甘油、丙二醇、水解蛋白、水解明胶、聚乙烯醇等。洗后使头皮和头发上保持一定的水分,感觉良好,并可增加香波的透明度,改善其外观;

(4)调理剂:有某些聚丙烯酸树脂、聚乙烯吡咯烷酮或其与乙酸乙烯酸共聚物等,可使头发易于梳理定形;

(5)香精:使洗发时和洗发后具有愉快的气味;

(6)珠光剂:以乙二醇单硬脂酸酯为代表,可使香波具有珠光感,它和色素一样都可改善香波的外观。

此外,对于某些具有特殊功能的香波,要加入染发剂,抗头屑香波要加入以吡啶硫酮锌为代表的抗头屑过多症的药剂。

漂洗剂

俗称护发素。洗发后使用,使头发柔软并具自然光泽。在早期香波以肥皂为主要成分时,用后使头发因吸附残存的肥皂而失去光泽,因此漂洗剂含有柠檬酸或酒石酸等有机酸类,以除去残存的肥皂。现代漂洗剂的主要成分是阳离子表面活性剂。它吸附于毛发表面,形成单分子膜,使头发易于梳理和整形,有些还具有杀菌作用。最常用的阳离子表面活性剂是季铵盐,一般在配方中占2~3%,代表性的有烷基三甲基氯化铵、二烷基二甲基氯化铵、烷基二甲基苄基氯化铵。这类物质的选用,必须注意对皮肤和眼睛的刺激性要小。一般使用长链的16碳或18碳的烷基。漂洗剂中使用的添加剂与洗发香波相似。

营养发水

俗称生发水。能赋予清凉感和香气,刺激头皮,止痒,滋养毛根,促进头皮血液循环,并有一定的杀菌力。营养发水使用方便,涂洒在头发上即可,为了使它充分渗入到头皮中,可用手指按摩头皮。

营养发水的成分有:

(1)生发促进剂:有氨基酸、维生素 E、泛酸、斑螯酊、姜酊、奎宁酊、葛藤提取液等,能渗入毛根,扩张血管,促进血液循环,有助于毛发生长;

(2)止痒剂:有辣椒、姜、水杨酸、间苯二酚、薄荷醇、抗组织胺等;

(3)清凉剂:有乙醇、薄荷醇、辣椒酊、姜酊等;

(4)杀菌剂:有水杨酸、阳离子表面活性剂、间苯二酚等。此外还有添加剂如油分、色素、香料、保湿剂等,具有保护头发,使毛发柔软等功用。

整发用品

使梳理后的头发整齐定形,不易蓬乱,还兼有保养头发并赋予光泽的作用。目前使用最多的是发乳,其次是发油、发蜡、发摩丝等。

(1)发乳:油性物料和水形成的乳化膏体,大多是水包油型,也有油包水型。后者适用于干性头发。所用的油性原料有橄榄油、山茶籽油、角鲨烷、液体石蜡等,一般还要配用蜂蜡等作为定形剂。乳化剂以乙氧基化脂肪醇为代表,所用的脂肪醇多为十六醇、十八醇、十八烯醇等,加成的环氧乙烷数一般为6~8摩尔。此外,发乳中还加入香精、防腐剂、抗氧化剂等。发乳在使用时不发粘,感觉爽快,易于清洗,是广泛使用的整发剂。

(2)发油:常以植物油为主要原料,其次为液体石蜡、脂肪醇、脂肪酸酯等。主要作用是增加头发的光泽,也可滋润头发,使之柔软,防止头发干燥、折断、裂开,防止脱发且能减轻皮肤的炎症。发油的整发效果略差,清洗亦不如发乳容易,而且使用后头发紧贴在一起,缺乏天然的蓬松感,使用不如发乳广泛。

(3)发蜡:以凡士林为主要原料,配入适度的液体石蜡。其整发定形的性能较好,但不易清洗,使用后缺乏天然的蓬松感。

(4)发摩丝:新颖的整发用品,呈气溶胶状。其配方中含有阳离子合成树脂,能抑制头发上的静电效应,因此整发梳理性能优良,定形性能亦好。包装在压力容器内,与丙烷、丁烷等推进剂制成气溶胶,按下开关后即形成泡沫(摩丝即泡沫之意),使用很方便。干燥后大部分挥发,头发上的残留物很少,易于保持头发清洁,正在受到愈来愈多的消费者的欢迎。

(5)染发剂:将灰白色头发染成黑色、红褐色、棕色或金色等深浅不同颜色的毛发化妆品。根据染色的原理,可分为深入发髓内部的永久性染发剂和粘着于头发表面的暂时性染发剂两种。

永久性染发剂(又名氧化染发剂)由含有氧化染料的1号药剂和含有氧化剂的2号药剂组成。兼具漂白和染色的双重机能。染色的原理是把处于还原状态的氧化染料渗透到发髓内部,再氧化而成不溶性的色素。

以染黑色发为例,1号药剂主要成分可以是对苯二胺(主染料)、2,4-二氨基甲氧基苯(偶合剂)、间苯二酚(调色剂)等氧化染料。将它们溶于异丙醇内,再配以促使染料均匀附着渗透的油酸和乙氧基化油醇等表面活性剂,以及能使头发膨胀以便于氧化的氨水等。2号药剂的主要成分为氧化剂,通常为双氧水。为了防止储存期中的分解,一般都添加有稳定剂,还有金属螯合剂、防腐剂和pH调整剂。染发时一般等体积混和两种药剂,涂敷在头发上一定时间后,将药液洗去即成。

暂时性染发剂(又名矿物性染发剂)由乙酸铅、柠檬酸铋、硝酸银等金属盐配制而成,为乳膏状。涂敷于头发上,由于这些化合物生成的颜色,或是由于头发角朊中存在的 S-S链和金属元素之间的反应使头发染成黑色。

目前流行的各种染发剂中的有效成分如进入人体都是有害的,因此头皮有破损者不能使用。在使用前应做皮肤试验,以免产生过敏。

烫发剂

用于使头发形成永久性的卷曲形态,美化头发的外观。烫发的化学原理非常复杂。头发中的 S-S结合起重要作用,有化学软化、重新排列和固定3个过程。

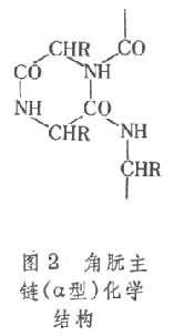
人类的毛发由角朊的蛋白质构成,具有由各种氨基酸形成的多肽链及其侧链结合而成的各种桥接结合,其化学结合状态模式见图1 。从模式图中可以看出有3种桥接结合:

(1)S-S结合:又称胱氨酸结合、二硫结合。由约占人类头发15%的胱氨酸生成。这种结合对头发的变形起着最重要的作用。

(2)离子结合:利用正负电荷在侧链间生成的结合,即赖氨酸或精氨酸带正电荷的铵离子和天冬酸或谷氨酸带负电荷的羧基离子相互静电作用的结合。

(3)氢结合:酰胺基的氨与其相邻羰基的氧之间的结合。

图

角朊的主链(多肽链)在正常状态下呈有规则排列的曲线,称为α型,其化学结构见图2。

图

头发伸展开时主链伸直,称为β型,其化学结构见图3。

图

烫发的原理就是要将α 型的角朊结构拉伸成为β 型再加以卷曲。但由于这种分子内转移是可逆的,不能保持长久的卷曲状态。因此早期的烫发是用热水或蒸汽将头发湿润,然后进行拉伸卷曲。从分子结构上看就是断开氢结合,在卷曲状态下干燥,就能保持烫后的发形。这种烫发方法由于S-S结合和离子结合没有变化,效果不持久,现已淘汰。

长期为人们使用的烫发方式是电烫,是一种利用药液和加热相结合的方法。开始时用的药液以硼砂为主,后来发展到使用氨水、三乙醇胺、单乙醇胺和碳酸钾、碳酸钠、亚硫酸钾、亚硫酸钠等。电烫用药液中的大多数化合物是对离子结合起作用的,而作为还原剂亚硫酸盐则对离子结合和S-S结合同时起作用,可以下列反应式表示(R为多肽链):

R·SS·R+Na2SO3→R·SNa+R·SSO3Na

普遍使用的烫发方法为化学烫发,又称冷烫。冷烫所用的药剂分为1号和 2号两种。1号药剂(卷曲液)为碱性下的还原剂,一般为4~14%巯基乙酸铵,并加入氨水或三乙醇胺等碱性物质,以促进效果,调整pH值为9.0~9.5。为了保护头发及提高使用性能,要掺合一些油分和表面活性剂。2号药剂(中和剂)以氧化剂为主要成分,呈液状或粉末状。液状一般是双氧水,粉末状为溴酸钾、高硼酸钠等。

冷烫的过程是先将由α 型角朊组成的头发通过卷曲被拉伸成β型,然后涂上1号药剂使S-S结合在卷曲状态下裂断,表示式为:

R·SS·R+2R'·SH→2R·SH+R'·SS·R'用水洗净残余药剂后,再涂以2号药剂,待氧化反应完成,即重新形成在卷曲状态下稳定的S-S结合:

公式 符号

冷烫操作方便,是目前世界上流行的烫发方法。

剃须膏

专用于男子剃胡须,可使胡须湿润、软化,并使胡须保持直立,便于剃刮。剃须膏一般有以下3个品种。

(1)多泡剃须膏:含有40~50%脂肪酸皂。所用的脂肪酸主要是硬脂酸和椰子油脂肪酸。考虑起泡性、泡沫的持续性及对皮肤的刺激性,上述两种酸比值一般为3:1。为了保持膏体的适宜硬度并防止膏体硬度随温度而变化,皂化时使用苛性钾和苛性钠的混和液,两者的比值一般为5:1。制品中含3~5%的游离脂肪酸,保持pH值10左右。为了防止使用中干燥,可添加适量甘油等润湿剂。加羊毛脂、十六醇、凡士林等可缓和对皮肤的刺激。

(2)无泡剃须膏:以雪花膏为基体,可软化胡须并使剃刀刃滑,不须用刷子涂抹起泡,使用方便。剃须后有舒适感。配方中肥皂用量极少,皂化剂用非离子表面活性剂以防止碱性过度。

(3)气溶胶剃须膏:由原液和喷射剂构成,使用比其他剃须膏简便。原液的配方与其他剃须膏相同,仅是含水分较多,推进剂为液化丙烷和丁烷。