[拼音]:leida xinhao pinlü zhence
[外文]:radar signal frequency measurement
用电子侦察设备截获雷达信号,并测量其载频的雷达对抗技术。雷达信号的载频是信号分选和雷达识别的一个重要参数。侦测频率的方法有搜索法和非搜索法两种。搜索法是在给定的频率范围内,按给定的规律周期地搜寻信号。采用搜索法的接收设备有扫掠式超外差接收机和压缩接收机。非搜索法是在宽的瞬时分析带宽内同时接收信号。采用非搜索法的接收设备有晶体视频接收机、瞬时测频接收机、宽带超外差接收机、信道化接收机和声光接收机等。
超外差接收机
扫掠式窄带超外差接收机(图1)用电调或钇铁石榴石磁调方法,使预选器和扫掠式本机振荡器的调谐能协调地变化。输入信号经混频、放大、检波后得到的视频信号和由扫掠控制电路产生的频率扫描信号分别加到示波管或分析处理器的两端,按照视频信号在频率扫描线上出现的位置,可读出被测信号的频率。宽带超外差接收机主要实现频段转换,同其他类型的接收机组合应用。
压缩接收机
又称微扫接收机,其组成如图2。它的扫描周期短到微秒量级,并用占空比为50%的线性调频波形作扫掠本振。它在混频器端不断地对窄频谱的输入信号进行采样、相乘,得到的也是线性调频信号。它通过与信号有复共轭特性的色散延迟线后,得到有sin c函数包络的压缩脉冲,经检波、比较、选大(即定中心)处理后获取压缩脉冲的主峰。此信号的相对扫描周期的时延被计数后,即根据延迟线的线性时延-频率特性确定被测信号的频率。本机采用把频率转化为时间的测量技术,是脉冲压缩技术应用的一种扩展。在压缩接收机中,线性调频波形的产生和解调是用声表面波色散延迟线实现的,其调频速率高达0.5~1吉赫/微秒。这种技术在分析带宽内测频,截获概率高,频率分辨率好,适用于信号的瞬时频谱分析。
瞬时测频接收机
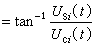
工作原理基于信号的相位干涉。多通道瞬时测频接收机框图如图3。微波鉴相器是它的关键部件。输入信号在此部件中被分成两个分量,其中一个是经过延迟(τi)的。这两个分量各自经过电桥分为两路,在检波器上实现相乘、滤波,输出是一组正交的低频信号U
和U
,其矢量幅度与信号的功率成正比。矢量角θi(t)是以相乘器相接的延迟线两端之间的相位差量度
并且随信号频率(f)而变化,式中下标i为第i通道相应的参数。对常载频信号,θi(t)/2πτi近似地等于测量时刻t的信号的瞬时频率,频率信息由等效于取反正切的过程来恢复,即频率是由θ(t)的测量值所决定。图3中最短的延迟线(τ1)决定了整机不模糊的测频范围;最长的延迟线和并联通道决定了频率分辨率。当
时,θi(t)随频率变化出现2π倍数,即产生三角函数的多值现象,故要用多个不同延迟线的鉴相器组并联工作,以消除单个鉴相器的矢量角的模糊测量。本机既有倍频带宽,又有较好的频率分辨率,能测调频的、调相的和捷变频的雷达信号。
信道化接收机
由许多互相邻接的窄带滤波器并联构成(图4)。每个滤波器设计在不同的中心频率上。输入信号在滤波器组中被分选检测,判定信号在滤波器组中的序号代表此频率值。实用的信道化接收机要兼顾频率覆盖范围、分辨率和硬件数量等要求。常用外差法把信号的微波频段变换到较低的频段,以便采用小型、高性能的声表面波滤波器组件。用并联的多路外差法可满足频率覆盖范围的要求。本机在密集的信号环境下有较好的性能:截获概率高、测频时间短、灵敏度高、分选能力强,并具有处理同时信号的能力。
声光接收机
又称瞬时傅里叶变换器,它基于相干光束和声束之间的衍射原理工作。有声表面波和体波两种,前者如图5。输入信号激励声表面波换能器后,便产生相同频率的超声波,行进的超声波引起导光材料的折射率的周期性变化。当满足布喇格衍射条件时,一阶衍射光是主要分量,它的光强正比于信号功率,衍射角(偏转角)正比于频率。衍射光经透镜会聚并投射到线性排列的光电检测器阵列上,每个检测器对应于频率分辨单元的一个信道,读出检测器的位置序号就代表被测信号的频率。声光接收机由于信息处理简单、体积小、潜在的成本低而受到重视,它还具有信道化接收机的性能。