[拼音]:jianzhu cailiao rewuli xingneng
[外文]:thermo-physical property of building material
建筑热工学的重要研究课题之一,通常用导热系数、导温系数、比热来表示建筑材料的热物理性能。各种建筑材料的热物理性能差异很大,在建筑设计中应正确选用建筑材料的热物理指标,在施工中应注意防止因施工不当而降低材料的热物理性能。
导热系数用λ 表示,单位为瓦/(米·开)。导热系数愈小,材料的绝热性能愈好。影响材料导热系数的主要因素是材料的分子结构、化学成分,材料的工作状态如容重、湿度和温度。现将其关系分述如下。
(1)材料导热系数与容重的关系。容重是指单位体积的材料重量,用符号 γ表示,单位为千克/米3。容重是影响多孔材料导热系数的重要因素之一。多孔材料的导热系数是材料的固体骨架的导热系数和材料孔隙中气体的导热系数的平均值。空气的导热系数很小,在静态、温度0℃时,为0.026瓦/(米·开),与各类材料的导热系数差别很大(见表)。因此,多孔材料的导热系数随容重的减小而下降。多孔材料中气体的传热方式不单纯是导热,还存在孔隙中气体的对流换热和孔壁之间的辐射换热,所以表征多孔材料的导热系数应是当量导热系数。材料中气孔增大,孔内气体的对流换热和孔壁之间的辐射换热会增大,材料的当量导热系数也会明显增大。因此,从生产工艺上保证多孔材料的孔隙率大、气孔直径小和气孔分布均匀,是改善材料热物理性能的重要途径。
松散状纤维材料的容重小到一定程度后,材料内部的空气对流换热会增大,导热系数反而增大(见图)。
(2)材料导热系数与湿度的关系。材料湿度是反映材料中含游离水多少的指标。建筑材料(特别是多孔材料)的导热系数随着所含游离水数量的增加而增大。水的导热系数为0.58瓦/(米·开),比空气大20多倍,冰的导热系数为2.3瓦/(米·开),如果孔隙中水分冻结成冰,材料的导热系数将更大。在设计和施工中应采取措施,控制材料的湿度,以保证围护结构材料的良好绝热性能。
(3)材料导热系数与温度的关系。材料导热系数与温度的关系比较复杂。在通常的气温条件下,材料导热系数受温度的影响较小,一般在房屋围护结构热工计算中,可忽略不计。只有处于高温或很低的负温条件下,才考虑采用相应温度下的导热系数。
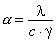
导温系数指材料在冷却或加热过程中各点达到相同温度时的快慢。导温系数愈大,则各点达到相同温度就愈快。导温系数用ɑ表示,单位为米2/小时。材料的导温系数与材料的导热系数成正比,与材料的体积热容量(C·γ)成反比(C为比热容),即:
影响材料导温系数的因素和导热系数相似,即材料的分子结构、化学成分、容重、湿度和温度。
比热容单位为千焦/(千克·开)。材料比热容的大小主要取决于材料的化学成分。无机材料的比热容为0.84~1.26千焦/(千克·开);有机材料的比热容为1.26~2.51千焦/(千克·开);建筑用的金属材料的比热容约为0.42千焦/(千克·开)。
水的比热容为4.2千焦/(千克·开),远大于一般材料,因此材料受潮后,比热容数值会明显上升。大多数材料的比热容随着湿度的增加呈线性增大。对木材等一些有机材料,比热容随湿度的增加呈抛物线曲线关系。
测定方法测定建筑材料热物理性能的方法可分为两类:
(1)稳定热状况法。测试时经过材料试件的热流,在数值上和方向上都不随时间而改变,即温度场是稳定的。此法的试验条件易于控制,计算方便,许多国家都以此法作为标准测试方法。
(2)非稳定热状况法。此法的优点是设备简单,试验时间短,并有可能在一次试验中同时则测出材料的导热系数、导温系数和比热容。