雷达测量精度

雷达测量正确性或误差大小的量度。测量误差,一般用测量值与真实值之差的平方的统计期望值(均方误差)或平方根(均方根误差)来表示。雷达所测量的目标参数通常包括目标距离(回波时延)、距离变化率(多普勒频移)、方位角和俯仰角(回波到达角)等。现代雷达还能测量目标尺寸、形状和其他参数。测量精度的根本限制因素是噪声。根据参量估计理论可以求出雷达测量的极限精度,并把它作为设计和评价雷达的重要依据之一。

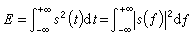
雷达回波由信号s(t-T)加噪声n(t)组成,式中T是回波信号的时延。时延T的估计值的均方根误差的下限为

公式 符号

式中

公式 符号 公式 符号

分别为信号能量和有效带宽;N0为噪声的功率谱密度(即单位带宽内的噪声功率);s(f)为s(t)的傅里叶变换。多普勒频移的估计值的均方根误差的下限为

公式 符号

式中

公式 符号

为信号的有效时宽。

对于任意波形总有公式 符号。因此

公式 符号

这说明,只要有足够大的信噪比E/N0并选择βα足够大的雷达信号,测量时延(距离)和频移(速度)均可获得所希望的精确程度。

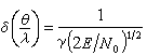
由于天线方向图G(θ)和天线口径面上场的幅度分布A(x)之间也近似有傅里叶变换的关系,可以同样求得角度估值的均方根误差的下限为

公式 符号

式中

公式 符号

γ称为有效口径宽度;λ为雷达波长。因此,雷达测量精度与雷达波形有密切关系。