隔振

图1

把机械安装在合适的弹性装置上以隔离机械振动传播的措施。依振源的不同有两种性质不同的隔振措施(图1)。如果机械本身是振源,应使它与支承隔离,以减少对周围的影响,这称为主动隔振。如振源来自支承的运动,为减少外界振动对机械的影响,须使支承与机械隔离,这称为被动隔振。

隔振系数η表示隔振的效果。主动隔振系数

公式 符号

被动隔振系数

公式 符号

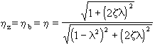
ηzηb概念不同,但计算公式相同。其值越小隔振的效果越好。对于单自由度隔振系统

公式 符号

式中λωj/ωn为频率比,即激励频率ωj与隔振系统固有频率ω n之比,ζ为阻尼比。根据隔振系数曲线(图2):

(1)无论阻尼大小,只有当频率比公式 符号时才有隔振效果,而后随λ的增加隔振效果逐渐增加,实用中取 λ=2.5~5已经足够;

(2)增大阻尼可减小机械在起动和停车过程中经过共振区时的振幅,但在公式 符号后,增大阻尼反而减小隔振效果;

(3)由于一般隔振材料阻尼系数不大,在λ=2.5~5范围内计算隔振系数时,可按无阻尼情况考虑。具体的隔振措施有设置弹性支撑物和防振沟等。对于隔振效果要求很高的精密仪器,一般采用多层隔板;对于多向激励、多种响应的复杂隔振系统,则要考虑直线振动、扭转振动和它们之间的耦合,隔振系数须按多自由度模型进行计算。当频率比 λ变化较大时,如宽频带激励和重量变化大的机械,采用非线性隔振系统可以收到较好的隔振效果。在隔振设计中,根据振源振动量的大小、方向和频率,以及被隔振机械的尺寸、重量和隔振要求,确定隔振装置的参数和结构型式。

图2